数据分析网

4.3 、SPSS相关系数—零基础入门教程

微信扫码观看完整版SPSS视频课程、分析师在线答疑解惑哦~

SPSS教程 (1).png

【课程摘要】

SPSS(Statistical Package for the Social Sciences)是一种常用的统计分析软件,其中相关系数分析是其重要的功能之一。相关系数分析是一种用于衡量两个变量之间关系强度和方向的统计方法。SPSS提供了简单易用的界面和工具,使得相关系数分析的计算和解释更加方便和高效。通过SPSS的相关系数分析功能,我们可以计算和分析变量之间的相关性,从而了解它们之间的线性关系强度和方向。相关系数分析可以帮助我们确定变量之间的相关性程度,从而对研究问题进行科学的判断和决策。通过SPSS的相关系数分析功能,我们可以进行准确的统计推断,为科学研究和决策提供可靠的依据。
【详细教程】

SPSS相关系数


相关分析主要目的是研究变量间关系的密切程度,在统计分析中, 常利用相关系数定量地描述两个变量之间线性关系的紧密程度。如果因变量值随着自变量值的增大而增大,或者随着自变量值的减小而减小, 我们称之为正相关,相关系数大于0 。但是如果因变量值随着自变量值的增大而减小,或者随着自变量值的减少而增大,我们称之为负相关, 相关系数小于0 。相关系数是描述线性关系强弱和方向的统计量,取值范围为-1~1。


根据数据的特点的不同,通常采用不一样的相关系数,下面着重介绍3种相关系数,分别是Pearson相关系数、Spearman等级相关系数和Kendall等级相关系数。


1 .线性相关系数


线性相关是用来度量具有线性关系的两个变量之间,相关关系的密切程度及相关方向,适用于满足正态分布的数据。线性相关系数,又称为Pearson相关系数,有时也称为积差相关系数。


Pearson相关系数的计算公式为:


1.png


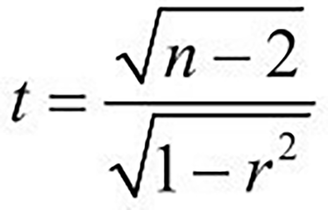
其中,n 为样本容量,x i和y i为两变量对应的样本值。Pearson相关系数的t 检验统计量,定义为:


2.png


其中,t 统计量服从自由度为n-2的t分布。


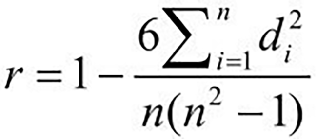
2 .Spearman等级相关系数


Spearman等级相关系数相当于Pearson相关系数的非参数形式,它根据数据的秩而不是数据的实际值计算,适用于有序数据和不满足正态分布假设的等间隔数据。取值范围也在(-1,1)之间,绝对值越大相关性越强,取值符号表示相关的方向。


Spearman等级相关系数的计算公式为:


3.png


其中di表示每对观察值(x ,y )的秩之差,n 为观察对的个数。


Spearman等级相关系数检验零假设就是相关系数为0 ,在小样本的情况下,Spearman等级相关系数就是检验统计量,当时大样本的时候, 采用正态检验统计量:Z=r,当零假设成立时,小样本统计量服从Spearman分布,大样本统计量近似服从标准正态分布。


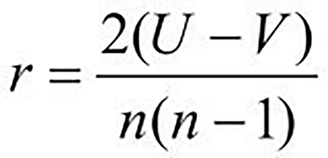
3 .Kendall等级相关系数


Kendall等级相关系数是对两个有序变量或两个秩变量之间相关程度的测度,属于非参数统计,统计时考虑了秩相同点的影响。利用变量秩数据计算一致对数目(U)和不一致对数目(V)来构造统计量。Kendall等级相关系数计算公式:


4.png


Kendall等级相关系数检验零假设就是相关系数为0 ,在小样本的情况下,Kendall等级相关系数就是检验统计量,当时大样本的时候,采用正态检验统计量:


5.png


当零假设成立时,小样本统计量服从Kendall分布,大样本统计量近似服从标准正态分布。


在了解上述相关系数的定义后,我们要了解相关系数不能直接用来 说明样本来自的总体是否具有显著的线性相关性,而需要通过假设检验的方式对样本来自的总体是否具有显著的线性相关性进行推断统计,基本步骤,先提出零假设,然后构造检验统计量,计算检验统计量的观测值和概率p值,根据p值和显著性水平的大小,来决定拒绝或接受零假设,零假设即两个总体无显著的线性关系。

                                       


热门软件

热门软件

免费下载

【软件下载】点击下载:https://pan.baidu.com/s/13YlL_OVzOA17cLwizM3_Ow?pwd=8888‍‍‍提取码:8888【软件介绍】STATA软件是一款功能强大的统计分析工具,被广泛应用于社会科学、经济学、生物医学等领域。它提供了丰富的统计方法和数据处理功能,可以进行数据清洗、数据可视化、回归分析、时间序列分析等操作。【安装步骤】1. 鼠标右击【Stata...
【软件下载】点击下载:https://pan.baidu.com/s/1umK9awFRS2a_6X7Q3cZMaA?pwd=8888‍‍‍提取码:8888‍【软件介绍】EViews是一款功能强大的经济统计分析软件,广泛应用于经济学、金融学等领域。它提供了丰富的数据处理、分析和建模工具,能够帮助用户进行数据的可视化、回归分析、时间序列分析等操作。【安装步骤】1.鼠标右击【EViews13(6...
【软件下载】点击下载:https://pan.baidu-download.com/extract/matlab.html‍‍‍提取码:点击获取‍【软件介绍】MATLAB是一种高级技术计算和编程环境,广泛用于科学、工程和数学领域的数据分析、模拟和可视化。它是由MathWorks公司开发的,提供了丰富的函数库和工具箱,用于处理矩阵运算、信号处理、图像处理、优化、统计分析等各种任务。【安装步骤】...
【软件下载】百度云下载:https://pan.baidu.com/s/1n_mzTAHhPFuWfQ6Bv1CuCg?pwd=8888‍‍‍‍‍‍提取码:8888‍【软件介绍】Python是一种高级编程语言,具有简单易学、可读性强的特点。它被广泛应用于数据分析、人工智能、Web开发等领域。Python拥有丰富的库和框架,如NumPy、Pandas、TensorFlow等,可以方便地进行数据...
【软件下载】立即下载:https://pan.baidu.com/s/1Suf_R2i0d1zPCiICd6PduA?pwd=8888‍‍‍‍‍‍‍提取码:8888‍‍【软件介绍】RStudio是一款专业的集成开发环境(IDE),用于R语言的开发和数据分析。它提供了丰富的功能和工具,包括代码编辑、调试、数据可视化和报告生成等。通过RStudio,用户可以高效地编写和运行R代码,进行数据处理、...
【软件下载】点击下载:https://pan.baidu.com/s/1c9hcqPMTqikA7SA3w6PuSQ?pwd=8888‍‍提取码:8888‍【软件介绍】AMOS是一款广泛应用于社会科学、教育研究、市场调研等领域的统计分析软件,它提供了强大的功能和直观的界面,帮助用户进行复杂的结构方程建模和模型验证,从而深入分析数据之间的关系和影响。【安装步骤】1.鼠标右击【Amos28】压缩...
【软件下载】点击下载:https://pan.baidu-download.com/Extraction/Mplus.html提取码:点击获取‍【软件介绍】Mplus是一款专业的统计分析软件,主要用于结构方程模型(SEM)和混合效应模型(HLM)的建模和分析。Mplus提供了丰富的功能和工具,包括路径分析、因子分析、多水平建模等。Mplus的用户界面友好易用,支持图形化操作,使得模型构建和分...
【软件下载】点击下载:https://pan.baidu-download.com/Extraction/Origin.html提取码:点击获取‍【软件介绍】Origin是一款功能强大的科学数据分析和可视化软件,广泛应用于各个领域的数据处理和研究工作。Origin提供了丰富的数据分析工具和图形绘制功能,帮助用户快速处理和分析数据,并将结果以直观的图表形式展示。【安装步骤】1.鼠标右击【Ori...
【软件下载】百度云下载:https://pan.baidu.com/s/1CVXkLwjhLDw_7H6FV9O47Q‍‍‍‍‍提取码:点击获取【软件介绍】Excel是一款功能强大的电子表格软件,广泛应用于数据分析、数据处理和数据可视化。Excel提供了丰富的功能和工具,包括数据排序、筛选、公式计算、图表绘制等。它的用户界面简洁直观,操作便捷,适用于各种行业和领域。【安装步骤】1.选中下载的...
热门课程

热门课程

排行榜

【软件下载】点击下载:https://pan.baidu.com/s/13YlL_OVzOA17cLwizM3_Ow?pwd=8888‍‍‍提取码:8888【软件介绍】STATA软件是一款功能强大的统计分析工具,被广泛应用于社会科学、经济学、生物医学等领域。它提供了丰富的统计方法和数据处理功能,可以进行数据清洗、数据可视化、回归分析、时间序列分析等操作。【安装步骤】1. 鼠标右击【Stata...
【软件下载】点击下载:https://pan.baidu.com/s/1umK9awFRS2a_6X7Q3cZMaA?pwd=8888‍‍‍提取码:8888‍【软件介绍】EViews是一款功能强大的经济统计分析软件,广泛应用于经济学、金融学等领域。它提供了丰富的数据处理、分析和建模工具,能够帮助用户进行数据的可视化、回归分析、时间序列分析等操作。【安装步骤】1.鼠标右击【EViews13(6...
【软件下载】点击下载:https://pan.baidu-download.com/extract/matlab.html‍‍‍提取码:点击获取‍【软件介绍】MATLAB是一种高级技术计算和编程环境,广泛用于科学、工程和数学领域的数据分析、模拟和可视化。它是由MathWorks公司开发的,提供了丰富的函数库和工具箱,用于处理矩阵运算、信号处理、图像处理、优化、统计分析等各种任务。【安装步骤】...
【软件下载】百度云下载:https://pan.baidu.com/s/1n_mzTAHhPFuWfQ6Bv1CuCg?pwd=8888‍‍‍‍‍‍提取码:8888‍【软件介绍】Python是一种高级编程语言,具有简单易学、可读性强的特点。它被广泛应用于数据分析、人工智能、Web开发等领域。Python拥有丰富的库和框架,如NumPy、Pandas、TensorFlow等,可以方便地进行数据...
【软件下载】立即下载:https://pan.baidu.com/s/1Suf_R2i0d1zPCiICd6PduA?pwd=8888‍‍‍‍‍‍‍提取码:8888‍‍【软件介绍】RStudio是一款专业的集成开发环境(IDE),用于R语言的开发和数据分析。它提供了丰富的功能和工具,包括代码编辑、调试、数据可视化和报告生成等。通过RStudio,用户可以高效地编写和运行R代码,进行数据处理、...
【软件下载】点击下载:https://pan.baidu.com/s/1c9hcqPMTqikA7SA3w6PuSQ?pwd=8888‍‍提取码:8888‍【软件介绍】AMOS是一款广泛应用于社会科学、教育研究、市场调研等领域的统计分析软件,它提供了强大的功能和直观的界面,帮助用户进行复杂的结构方程建模和模型验证,从而深入分析数据之间的关系和影响。【安装步骤】1.鼠标右击【Amos28】压缩...
【软件下载】点击下载:https://pan.baidu-download.com/Extraction/Mplus.html提取码:点击获取‍【软件介绍】Mplus是一款专业的统计分析软件,主要用于结构方程模型(SEM)和混合效应模型(HLM)的建模和分析。Mplus提供了丰富的功能和工具,包括路径分析、因子分析、多水平建模等。Mplus的用户界面友好易用,支持图形化操作,使得模型构建和分...
【软件下载】点击下载:https://pan.baidu-download.com/Extraction/Origin.html提取码:点击获取‍【软件介绍】Origin是一款功能强大的科学数据分析和可视化软件,广泛应用于各个领域的数据处理和研究工作。Origin提供了丰富的数据分析工具和图形绘制功能,帮助用户快速处理和分析数据,并将结果以直观的图表形式展示。【安装步骤】1.鼠标右击【Ori...
数据分析网 专业数据分析服务
专业学术和研究领域的综合性数据分析服务平台
——————————————————————————————————————————————————————
本站教程已获得国家版权登记证书,受版权保护。未经授权,任何个人或机构不得以任何形式复制、传播、修改或用于商业目的。违反者将承担法律责任。
如需使用本站教程内容,请联系我们获取授权。谢谢合作!
以下为部分版权登记号:鲁作登字-2023-L-00466766   鲁作登字-2023-L-00466759   鲁作登字-2023-L-00466761   鲁作登字-2023-L-00466763   鲁作登字-2023-L-00466757