数据分析网

7.3、CiteSpace期刊的双图叠加分析—零基础入门教程

微信扫码观看完整版CiteSpace视频课程、分析师在线答疑解惑哦~

可视化绘图.png

视频教程
课程摘要

CiteSpace是一款用于科学合作网络分析的工具,其中的双图叠加分析功能可以帮助研究人员比较和分析不同主题或时间段下的网络结构。双图叠加分析是通过将两个网络图层叠加在一起,揭示它们之间的差异和关联。通过CiteSpace的双图叠加分析功能,研究人员可以观察到网络中节点的变化和演化情况,发现不同主题或时间段下的网络结构差异,以及节点之间的关联模式。
【详细教程】

CiteSpace期刊的双图叠加分析


Overlay Maps于2014年10月27日嵌入CiteSpace3.8.R7(64-bit)中,用户只需要下载最新版的CiteSpace即可。当前的Overlay分析还仅仅支持期刊的双图叠加,专利数据的叠加还没有开放。用户最多能够增加12个图层,即12个不同的主题数据,来对不同数据进行双图叠加的比较。期刊的双图叠加是显示各学科论文的分布、引文轨迹、重心漂移等信息的新方法①。

在CiteSpace功能界面菜单Overlay Maps中打开期刊叠加功能JCR Journal Maps(下图) 。

1.png


期刊的双图叠加界面如下图所示。

2.png


在期刊的双图叠加中,期刊的聚类命名是使用LLR算法,从该类期刊标题中来提取聚类命名。在该界面中,提供对图形 的进一步可视化处理。


Background, 点击此键可以对整个图形的背景进行调整; Filled/0pen,点击此键可以将图中的点转换成空心或者实心; BlondeWOS,   点击此键可以实现期刊双图聚类方法的切换; Circle/Number,点击此键可以对图中的点转换为聚类编号或者圆圈; Cluster Labels, 期刊聚类标签的显示或隐藏; Text Color, 聚类标签的颜色; Outline Color, 聚类标签边框的颜色; Borders, 聚类边界的显示功能; Add Overlay, 增加图层分析; View/Edit, 查看或编辑图层,可以了解到当前图层叠加的各层情况(如叠加层的ID,Color,Sources,Targets以及数据的来源文件Location);Clear   All,删除所有图层; Color by Cluster,切换双图叠加后的引证连线颜色; Z-Score, 对具有显著性的连线类进行合并; Cocitation Links, 共被引连线; Citing Paths, 引证路径。


案例:关于Science Mapping研究的文献Overlay分析。


从Web of Science中检索并下载了1980~2016年关于Science Mapping的论文7837篇,以此为样本数据来分析Science mapping期刊的双图叠加分析。


第一步:点击Add Overlay, 添加关于Science mapping的数据。此时会提示选择数据的来源样式。 w代表分析的数据是来自Web of Science的数据, p代表分析的数据是专利(patent)数据。目前期刊的Overlay分析功能还仅仅只有来自WoS数据的期刊叠加分析。因此默认w即可,点击OK进入下一步(下图)。


3.png


第二步:选择要分析的数据。这里的要分析的数据可以直接从之前建立CiteSpace工程的data文件夹中选取。当然用户也可以为期刊Overlay分析专门建立数据文件(下图)。


4.png


第三步:选择当前数据图层的连线颜色,并点击确定(下图)。


5.png


第四步:得到分析的初步结果。此时如果用户对可视化结果不满意,可以使用一些辅助功能对图形进行简化处理。如可以通过Z-score功能来合并连线。


6.png


7.png


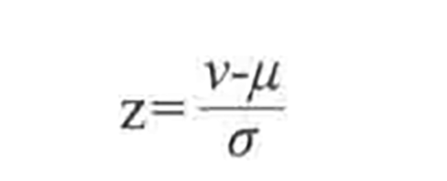
Z-score的计算公式如下:


8.png


式中, v为观测值,μ为平均数(mean of the population),σ为标准差 (standard   deviation)。

通过点击Color by Cluster和Color by Source来调整连线颜色的显示依据(下图)。此外,用户也可以通过上方的水平滚动条对图形的局部进行放大显示。


9.png


在期刊的双图叠加结果上,左边是施引图,右边是被引图。曲线为引证连线, 完整地展示了引用的来龙去脉。在左侧图中,期刊刊载的论文越多,则椭圆纵轴越长;作者的数量越多,则椭圆的横轴越长。


为了使得图形更加美观和协调。在可视化界面中,可以进一步对图形颜色和显示进行调整。如下图所示,为国际大数据研究的期刊的双图分析叠加结果。

10.png


重复上面步骤可以添加12个不同的主题数据,这样使用 Color by cluster就能统一将相同的图层编辑为相同的颜色。用于比较分析多个数据集。



热门软件

热门软件

免费下载

【软件下载】点击下载:https://pan.baidu.com/s/13YlL_OVzOA17cLwizM3_Ow?pwd=8888‍‍‍提取码:8888【软件介绍】STATA软件是一款功能强大的统计分析工具,被广泛应用于社会科学、经济学、生物医学等领域。它提供了丰富的统计方法和数据处理功能,可以进行数据清洗、数据可视化、回归分析、时间序列分析等操作。【安装步骤】1. 鼠标右击【Stata...
【软件下载】点击下载:https://pan.baidu.com/s/1umK9awFRS2a_6X7Q3cZMaA?pwd=8888‍‍‍提取码:8888‍【软件介绍】EViews是一款功能强大的经济统计分析软件,广泛应用于经济学、金融学等领域。它提供了丰富的数据处理、分析和建模工具,能够帮助用户进行数据的可视化、回归分析、时间序列分析等操作。【安装步骤】1.鼠标右击【EViews13(6...
【软件下载】点击下载:https://pan.baidu-download.com/extract/matlab.html‍‍‍提取码:点击获取‍【软件介绍】MATLAB是一种高级技术计算和编程环境,广泛用于科学、工程和数学领域的数据分析、模拟和可视化。它是由MathWorks公司开发的,提供了丰富的函数库和工具箱,用于处理矩阵运算、信号处理、图像处理、优化、统计分析等各种任务。【安装步骤】...
【软件下载】百度云下载:https://pan.baidu.com/s/1n_mzTAHhPFuWfQ6Bv1CuCg?pwd=8888‍‍‍‍‍‍提取码:8888‍【软件介绍】Python是一种高级编程语言,具有简单易学、可读性强的特点。它被广泛应用于数据分析、人工智能、Web开发等领域。Python拥有丰富的库和框架,如NumPy、Pandas、TensorFlow等,可以方便地进行数据...
【软件下载】立即下载:https://pan.baidu.com/s/1Suf_R2i0d1zPCiICd6PduA?pwd=8888‍‍‍‍‍‍‍提取码:8888‍‍【软件介绍】RStudio是一款专业的集成开发环境(IDE),用于R语言的开发和数据分析。它提供了丰富的功能和工具,包括代码编辑、调试、数据可视化和报告生成等。通过RStudio,用户可以高效地编写和运行R代码,进行数据处理、...
【软件下载】点击下载:https://pan.baidu.com/s/1c9hcqPMTqikA7SA3w6PuSQ?pwd=8888‍‍提取码:8888‍【软件介绍】AMOS是一款广泛应用于社会科学、教育研究、市场调研等领域的统计分析软件,它提供了强大的功能和直观的界面,帮助用户进行复杂的结构方程建模和模型验证,从而深入分析数据之间的关系和影响。【安装步骤】1.鼠标右击【Amos28】压缩...
【软件下载】点击下载:https://pan.baidu-download.com/Extraction/Mplus.html提取码:点击获取‍【软件介绍】Mplus是一款专业的统计分析软件,主要用于结构方程模型(SEM)和混合效应模型(HLM)的建模和分析。Mplus提供了丰富的功能和工具,包括路径分析、因子分析、多水平建模等。Mplus的用户界面友好易用,支持图形化操作,使得模型构建和分...
【软件下载】点击下载:https://pan.baidu-download.com/Extraction/Origin.html提取码:点击获取‍【软件介绍】Origin是一款功能强大的科学数据分析和可视化软件,广泛应用于各个领域的数据处理和研究工作。Origin提供了丰富的数据分析工具和图形绘制功能,帮助用户快速处理和分析数据,并将结果以直观的图表形式展示。【安装步骤】1.鼠标右击【Ori...
【软件下载】百度云下载:https://pan.baidu.com/s/1CVXkLwjhLDw_7H6FV9O47Q‍‍‍‍‍提取码:点击获取【软件介绍】Excel是一款功能强大的电子表格软件,广泛应用于数据分析、数据处理和数据可视化。Excel提供了丰富的功能和工具,包括数据排序、筛选、公式计算、图表绘制等。它的用户界面简洁直观,操作便捷,适用于各种行业和领域。【安装步骤】1.选中下载的...
热门课程

热门课程

排行榜

【软件下载】点击下载:https://pan.baidu.com/s/13YlL_OVzOA17cLwizM3_Ow?pwd=8888‍‍‍提取码:8888【软件介绍】STATA软件是一款功能强大的统计分析工具,被广泛应用于社会科学、经济学、生物医学等领域。它提供了丰富的统计方法和数据处理功能,可以进行数据清洗、数据可视化、回归分析、时间序列分析等操作。【安装步骤】1. 鼠标右击【Stata...
【软件下载】点击下载:https://pan.baidu.com/s/1umK9awFRS2a_6X7Q3cZMaA?pwd=8888‍‍‍提取码:8888‍【软件介绍】EViews是一款功能强大的经济统计分析软件,广泛应用于经济学、金融学等领域。它提供了丰富的数据处理、分析和建模工具,能够帮助用户进行数据的可视化、回归分析、时间序列分析等操作。【安装步骤】1.鼠标右击【EViews13(6...
【软件下载】点击下载:https://pan.baidu-download.com/extract/matlab.html‍‍‍提取码:点击获取‍【软件介绍】MATLAB是一种高级技术计算和编程环境,广泛用于科学、工程和数学领域的数据分析、模拟和可视化。它是由MathWorks公司开发的,提供了丰富的函数库和工具箱,用于处理矩阵运算、信号处理、图像处理、优化、统计分析等各种任务。【安装步骤】...
【软件下载】百度云下载:https://pan.baidu.com/s/1n_mzTAHhPFuWfQ6Bv1CuCg?pwd=8888‍‍‍‍‍‍提取码:8888‍【软件介绍】Python是一种高级编程语言,具有简单易学、可读性强的特点。它被广泛应用于数据分析、人工智能、Web开发等领域。Python拥有丰富的库和框架,如NumPy、Pandas、TensorFlow等,可以方便地进行数据...
【软件下载】立即下载:https://pan.baidu.com/s/1Suf_R2i0d1zPCiICd6PduA?pwd=8888‍‍‍‍‍‍‍提取码:8888‍‍【软件介绍】RStudio是一款专业的集成开发环境(IDE),用于R语言的开发和数据分析。它提供了丰富的功能和工具,包括代码编辑、调试、数据可视化和报告生成等。通过RStudio,用户可以高效地编写和运行R代码,进行数据处理、...
【软件下载】点击下载:https://pan.baidu.com/s/1c9hcqPMTqikA7SA3w6PuSQ?pwd=8888‍‍提取码:8888‍【软件介绍】AMOS是一款广泛应用于社会科学、教育研究、市场调研等领域的统计分析软件,它提供了强大的功能和直观的界面,帮助用户进行复杂的结构方程建模和模型验证,从而深入分析数据之间的关系和影响。【安装步骤】1.鼠标右击【Amos28】压缩...
【软件下载】点击下载:https://pan.baidu-download.com/Extraction/Mplus.html提取码:点击获取‍【软件介绍】Mplus是一款专业的统计分析软件,主要用于结构方程模型(SEM)和混合效应模型(HLM)的建模和分析。Mplus提供了丰富的功能和工具,包括路径分析、因子分析、多水平建模等。Mplus的用户界面友好易用,支持图形化操作,使得模型构建和分...
【软件下载】点击下载:https://pan.baidu-download.com/Extraction/Origin.html提取码:点击获取‍【软件介绍】Origin是一款功能强大的科学数据分析和可视化软件,广泛应用于各个领域的数据处理和研究工作。Origin提供了丰富的数据分析工具和图形绘制功能,帮助用户快速处理和分析数据,并将结果以直观的图表形式展示。【安装步骤】1.鼠标右击【Ori...
数据分析网 专业数据分析服务
专业学术和研究领域的综合性数据分析服务平台
——————————————————————————————————————————————————————
本站教程已获得国家版权登记证书,受版权保护。未经授权,任何个人或机构不得以任何形式复制、传播、修改或用于商业目的。违反者将承担法律责任。
如需使用本站教程内容,请联系我们获取授权。谢谢合作!
以下为部分版权登记号:鲁作登字-2023-L-00466766   鲁作登字-2023-L-00466759   鲁作登字-2023-L-00466761   鲁作登字-2023-L-00466763   鲁作登字-2023-L-00466757