数据分析网

3.1、R语言图形参数—零基础入门教程

微信扫码观看完整版RStudio视频课程、分析师在线答疑解惑哦~

微信扫码-通用.jpg

【视频教程】
课程摘要

在R语言中,图形参数是用于控制绘图的各种属性和样式的设置。通过调整图形参数,可以改变图形的大小、颜色、线型、字体等属性,从而定制化绘图结果。常用的图形参数包括par()函数中的参数,如mar控制边距,mfrow和mfcol控制多图排列方式,col控制颜色,lty控制线型,cex控制字体大小等。可以使用par()函数来设置全局图形参数,也可以在绘图函数中直接指定局部图形参数。通过灵活调整图形参数,可以满足不同绘图需求,使得绘图结果更加美观和易读。此外,R语言还提供了丰富的图形参数设置函数和图形设备选项,如dev.off()关闭图形设备,dev.new()打开新的图形设备等。总之,图形参数是R语言中重要的绘图工具,可以帮助用户创建高质量的图形结果。

【详细教程】

R语言图形参数


我们可以通过修改称为图形参数的选项来自定义一幅图形的多个特征(字体、颜色、坐标轴、 标签)。 一种方法是通过函数par() 来指定这些选项。以这种方式设定的参数值除非被再次修改, 否则将在会话结束前一直有效 。


其调用格式为 par(optionname=value,optionname=name,...)。不加参数地执行par() 将生成一个含有当前图形参数设置的列表。


添加参数no.readonly=TRUE   可以生成一个可以修改的当前图形参数列表。

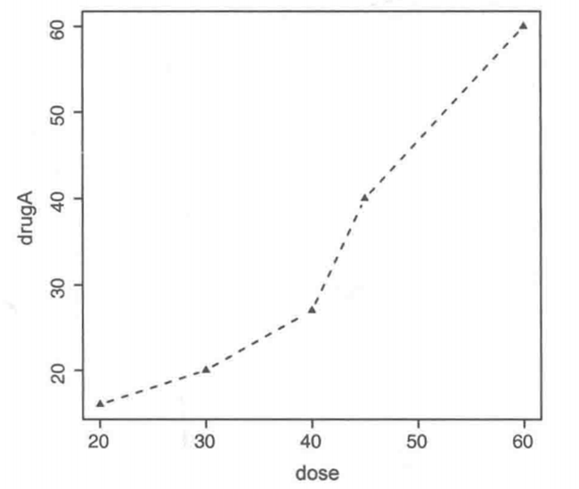
继续我们的例子,假设你想使用实心三角而不是空心圆圈作为点的符号,并且想用虚线代替实线连接这些点。你可以使用以下代码完成修改:

opar   <-   par(no.readonly=TRUE)

par(1ty=2,pch=17)

plot(dose,         drugA,        type="b")

par(opar)

结果如下图所示。

1.png


首个语句复制了一份当前的图形参数设置。第二句将默认的线条类型修改为虚线(1ty=2)   并将默认的点符号改为了实心三角(pch=17)。   然后我们绘制了图形并还原了原始设置。


你可以随心所欲地多次使用par()函数 , 即par(1ty=2,pch=17) ,也可以写成 :

par(1ty=2)

par(pch=17)

指定图形参数的第二种方法是为高级绘图函数直接提供optionname=value   的键值对。这种

情况下,指定的选项仅对这幅图形本身有效。


你可以通过代码:

plot(dose,drugA,type="b",1ty=2,pch=17)

来生成与上图相同的图形。


并不是所有的高级绘图函数都允许指定全部可能的图形参数。你需要参考每个特定绘图函数的帮助(如?plot、?hist 或?boxplot)   以确定哪些参数可以以这种方式设置。下面介绍可以设定的许多重要图形参数。


一、符号和线条


如你所见,可以使用图形参数来指定绘图时使用的符号和线条类型。相关参数如下表所示。

2.png


选项pch=用于指定绘制点时使用的符号。可能的值如下图所示。

3.png


对于符号21~25,你还可以指定边界颜色(col=)和填充色(bg=)。选项1ty=用于指定想要的线条类型。可用的值如下图所示。

4.png


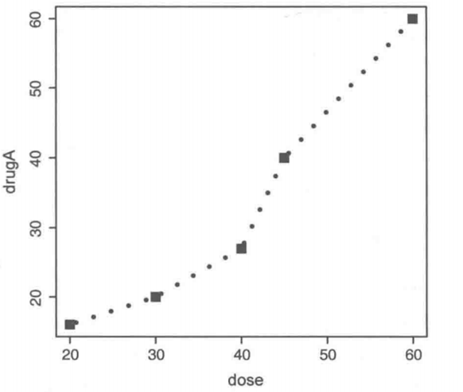
综合以上选项,以下代码:

plot(dose,drugA,type="b",1ty=3,1wd=3,pch=15,cex=2)

将绘制一幅图形,其线条类型为点线,宽度为默认宽度的3倍,点的符号为实心正方形,大小为默认符号大小的2倍。结果如下图所示。

5.png


二、颜色


R中有若干和颜色相关的参数。下表列出了一些常用参数。

6.png


在R中,可以通过颜色下标、颜色名称、十六进制的颜色值、 RGB值或HSV值来指定颜色。

举例来说, col=1、col="white"、col="#FFFFFF"、col=rgb(1,1,1)和col=hsv(0,0,1)都是表示白色的等价方式。函数rgb()可基于红-绿-蓝三色值生成颜色,而hsv()则基于色相- 饱和度-亮度值来生成颜色。请参考这些函数的帮助以了解更多细节。


函数colors() 可以返回所有可用颜色的名称。 Earl F.Glynn为R中的色彩创建了一个优秀的 在线图表,参见http://research.stowers-institute.org/efg/R/Color/Chart。R中也有多种用于创建连续型颜色向量的函数,包括rainbow()、heat.colors()、terrain.colors()、topo.colors() 以及cm.colors()。举例来说,rainbow(10)可以生成10种连续的“彩虹型”颜色。


对于创建吸引人的颜色配对, RColorBrewer特别受到欢迎。注意在第一次使用它之前先进 行下载(install.packages("RColorBrewer"))。安装之后,使用函数brewer.pal(n,name)   来创建一个颜色值的向量。比如说,以下代码:


library(RColorBrewer)

n <- 7

mycolors            <-            brewer.pal(n,"Set1")

barplot(rep(1,n),col=mycolors)

从Set1调色板中抽取了7种用十六进制表示的颜色并返回一个向量。若要得到所有可选调色板的 列表,输入brewer.pal.info;   或者输入display.brewer.all()   从而在一个显示输出中产生 每个调色板的图形。请参阅help(RColorBrewer)   获得更加详细的帮助。

最后,多阶灰度色可使用基础安装所自带的gray() 函数生成。这时要通过一个元素值为0和 1之间的向量来指定各颜色的灰度。 gray(0:10/10) 将生成10阶灰度色。试着使用以下代码:

n   <-    10

mycolors       <-       rainbow(n)

pie(rep(1,n),labels=mycolors,col=mycolors)

mygrays        <-        gray(0:n/n)

pie(rep(1,n),labels=mygrays,col=mygrays)

来观察这些函数的工作方式。


你可以看到, R 提供了多种创建颜色变量的方法。使用颜色参数的示例将贯穿本章。


三、文本属性


图形参数同样可以用来指定字号、字体和字样。字体族和字样可以通过字体选项进行控制(见下表)。

7.png


8.png


举例来说,在执行语句:

par(font.lab=3,cex.lab=1.5,font.main=4,cex.main=2)

之后创建的所有图形都将拥有斜体、1.5倍于默认文本大小的坐标轴标签(名称),以及粗斜体、 2倍于默认文本大小的标题。


我们可以轻松设置字号和字体样式,然而字体族的设置却稍显复杂。这是因为衬线、无衬线和等宽字体的具体映射是与图形设备相关的。举例来说,在Windows系统中,等宽字体映射为TT CourierNew,   衬线字体映射为TT Times New Roman, 无衬线字体则映射为TT   Arial(TT代表True Type)。 如果你对以上映射表示满意,就可以使用类似于family="serif"   这样的参数获得想要的结果。如果不满意,则需要创建新的映射。在Windows 中,可以通过函数windowsFont()来创建这类映射。例如,在执行语句:


windowsFonts(

A=windowsFont("Arial                            Black"),

B=windowsFont("Bookman                 old                 style"),

C=windowsFont("Comic            Sans            MS")


之后,即可使用A、B和c作为family的取值。在本例的情境下,par(family="A")   将指定Arial Black作为绘图字体。(3.4.2节中的代码清单3-2提供了一个修改文本参数的示例。)请注意,函数windowsFont()仅在Windows中有效。在Mac上,请改用quartzFonts()。


如果以PDF 或PostScript格式输出图形,则修改字体族会相对简单一些。


对于PDF格式,可以 使 用names(pdfFonts())找出你的系统中有哪些字体是可用的,然后使用pdf(file=   "myplot.pdf",family="fontname")来生成图形。对于以PostScript格式输出的图形,则可以对应地使用names(postscriptFonts())和postscript(file="myplot.ps",family=

"fontname")。   请参阅在线帮助以了解更多信息。



四、 图形尺寸与边界尺寸


最后,可以使用下表列出的参数来控制图形尺寸和边界大小。

9.png


代码:

par(pin=c(4,3),mai=c(1,.5,1,.2))

可生成一幅4英寸宽、3英寸高、上下边界为1英寸、左边界为0.5英寸、右边界为0.2英寸的图形。


关于边界参数的完整指南 ,不妨参阅Earl E.Glynn编写的一份全面的在教程 (http://research.st

owers-institute.org/efg/R/Graphics/Basics/mar-oma/)。让我们使用最近学到的选项来强化之前的简单图形示例。代码清单3-1中的代码生成的图形如下图所示。

10.png


首先,你以向量的形式输入了数据,然后保存了当前的图形参数设置(这样就可以在稍后恢复设置)。接着,你修改了默认的图形参数,得到的图形将为2英寸宽、3英寸高。除此之外,线条的宽度将为默认宽度的两倍,符号将为默认大小的1.5倍。坐标轴刻度文本被设置为斜体、缩小为默认大小的75%。之后,我们使用红色实心圆圈和虚线创建了第一幅图形,并使用绿色填充的绿色菱形加蓝色边框和蓝色虚线创建了第二幅图形。最后,我们还原了初始的图形参数设置。


值得注意的是,通过par()设定的参数对两幅图都有效,而在plot()函数中指定的参数仅对那个特定图形有效。


观察上图可以发现,图形的呈现上还有一定缺陷。这两幅图都缺少标题,并且纵轴的刻度单位不同,这无疑限制了我们直接比较两种药物的能力。同时,坐标轴的标签(名称)也应当提供更多的信息。



热门软件

热门软件

免费下载

【软件下载】点击下载:https://pan.baidu.com/s/13YlL_OVzOA17cLwizM3_Ow?pwd=8888‍‍‍提取码:8888【软件介绍】STATA软件是一款功能强大的统计分析工具,被广泛应用于社会科学、经济学、生物医学等领域。它提供了丰富的统计方法和数据处理功能,可以进行数据清洗、数据可视化、回归分析、时间序列分析等操作。【安装步骤】1. 鼠标右击【Stata...
【软件下载】点击下载:https://pan.baidu.com/s/1umK9awFRS2a_6X7Q3cZMaA?pwd=8888‍‍‍提取码:8888‍【软件介绍】EViews是一款功能强大的经济统计分析软件,广泛应用于经济学、金融学等领域。它提供了丰富的数据处理、分析和建模工具,能够帮助用户进行数据的可视化、回归分析、时间序列分析等操作。【安装步骤】1.鼠标右击【EViews13(6...
【软件下载】点击下载:https://pan.baidu-download.com/extract/matlab.html‍‍‍提取码:点击获取‍【软件介绍】MATLAB是一种高级技术计算和编程环境,广泛用于科学、工程和数学领域的数据分析、模拟和可视化。它是由MathWorks公司开发的,提供了丰富的函数库和工具箱,用于处理矩阵运算、信号处理、图像处理、优化、统计分析等各种任务。【安装步骤】...
【软件下载】百度云下载:https://pan.baidu.com/s/1n_mzTAHhPFuWfQ6Bv1CuCg?pwd=8888‍‍‍‍‍‍提取码:8888‍【软件介绍】Python是一种高级编程语言,具有简单易学、可读性强的特点。它被广泛应用于数据分析、人工智能、Web开发等领域。Python拥有丰富的库和框架,如NumPy、Pandas、TensorFlow等,可以方便地进行数据...
【软件下载】立即下载:https://pan.baidu.com/s/1Suf_R2i0d1zPCiICd6PduA?pwd=8888‍‍‍‍‍‍‍提取码:8888‍‍【软件介绍】RStudio是一款专业的集成开发环境(IDE),用于R语言的开发和数据分析。它提供了丰富的功能和工具,包括代码编辑、调试、数据可视化和报告生成等。通过RStudio,用户可以高效地编写和运行R代码,进行数据处理、...
【软件下载】点击下载:https://pan.baidu.com/s/1c9hcqPMTqikA7SA3w6PuSQ?pwd=8888‍‍提取码:8888‍【软件介绍】AMOS是一款广泛应用于社会科学、教育研究、市场调研等领域的统计分析软件,它提供了强大的功能和直观的界面,帮助用户进行复杂的结构方程建模和模型验证,从而深入分析数据之间的关系和影响。【安装步骤】1.鼠标右击【Amos28】压缩...
【软件下载】点击下载:https://pan.baidu-download.com/Extraction/Mplus.html提取码:点击获取‍【软件介绍】Mplus是一款专业的统计分析软件,主要用于结构方程模型(SEM)和混合效应模型(HLM)的建模和分析。Mplus提供了丰富的功能和工具,包括路径分析、因子分析、多水平建模等。Mplus的用户界面友好易用,支持图形化操作,使得模型构建和分...
【软件下载】点击下载:https://pan.baidu-download.com/Extraction/Origin.html提取码:点击获取‍【软件介绍】Origin是一款功能强大的科学数据分析和可视化软件,广泛应用于各个领域的数据处理和研究工作。Origin提供了丰富的数据分析工具和图形绘制功能,帮助用户快速处理和分析数据,并将结果以直观的图表形式展示。【安装步骤】1.鼠标右击【Ori...
【软件下载】百度云下载:https://pan.baidu.com/s/1CVXkLwjhLDw_7H6FV9O47Q‍‍‍‍‍提取码:点击获取【软件介绍】Excel是一款功能强大的电子表格软件,广泛应用于数据分析、数据处理和数据可视化。Excel提供了丰富的功能和工具,包括数据排序、筛选、公式计算、图表绘制等。它的用户界面简洁直观,操作便捷,适用于各种行业和领域。【安装步骤】1.选中下载的...
热门课程

热门课程

排行榜

【软件下载】点击下载:https://pan.baidu.com/s/13YlL_OVzOA17cLwizM3_Ow?pwd=8888‍‍‍提取码:8888【软件介绍】STATA软件是一款功能强大的统计分析工具,被广泛应用于社会科学、经济学、生物医学等领域。它提供了丰富的统计方法和数据处理功能,可以进行数据清洗、数据可视化、回归分析、时间序列分析等操作。【安装步骤】1. 鼠标右击【Stata...
【软件下载】点击下载:https://pan.baidu.com/s/1umK9awFRS2a_6X7Q3cZMaA?pwd=8888‍‍‍提取码:8888‍【软件介绍】EViews是一款功能强大的经济统计分析软件,广泛应用于经济学、金融学等领域。它提供了丰富的数据处理、分析和建模工具,能够帮助用户进行数据的可视化、回归分析、时间序列分析等操作。【安装步骤】1.鼠标右击【EViews13(6...
【软件下载】点击下载:https://pan.baidu-download.com/extract/matlab.html‍‍‍提取码:点击获取‍【软件介绍】MATLAB是一种高级技术计算和编程环境,广泛用于科学、工程和数学领域的数据分析、模拟和可视化。它是由MathWorks公司开发的,提供了丰富的函数库和工具箱,用于处理矩阵运算、信号处理、图像处理、优化、统计分析等各种任务。【安装步骤】...
【软件下载】百度云下载:https://pan.baidu.com/s/1n_mzTAHhPFuWfQ6Bv1CuCg?pwd=8888‍‍‍‍‍‍提取码:8888‍【软件介绍】Python是一种高级编程语言,具有简单易学、可读性强的特点。它被广泛应用于数据分析、人工智能、Web开发等领域。Python拥有丰富的库和框架,如NumPy、Pandas、TensorFlow等,可以方便地进行数据...
【软件下载】立即下载:https://pan.baidu.com/s/1Suf_R2i0d1zPCiICd6PduA?pwd=8888‍‍‍‍‍‍‍提取码:8888‍‍【软件介绍】RStudio是一款专业的集成开发环境(IDE),用于R语言的开发和数据分析。它提供了丰富的功能和工具,包括代码编辑、调试、数据可视化和报告生成等。通过RStudio,用户可以高效地编写和运行R代码,进行数据处理、...
【软件下载】点击下载:https://pan.baidu.com/s/1c9hcqPMTqikA7SA3w6PuSQ?pwd=8888‍‍提取码:8888‍【软件介绍】AMOS是一款广泛应用于社会科学、教育研究、市场调研等领域的统计分析软件,它提供了强大的功能和直观的界面,帮助用户进行复杂的结构方程建模和模型验证,从而深入分析数据之间的关系和影响。【安装步骤】1.鼠标右击【Amos28】压缩...
【软件下载】点击下载:https://pan.baidu-download.com/Extraction/Mplus.html提取码:点击获取‍【软件介绍】Mplus是一款专业的统计分析软件,主要用于结构方程模型(SEM)和混合效应模型(HLM)的建模和分析。Mplus提供了丰富的功能和工具,包括路径分析、因子分析、多水平建模等。Mplus的用户界面友好易用,支持图形化操作,使得模型构建和分...
【软件下载】点击下载:https://pan.baidu-download.com/Extraction/Origin.html提取码:点击获取‍【软件介绍】Origin是一款功能强大的科学数据分析和可视化软件,广泛应用于各个领域的数据处理和研究工作。Origin提供了丰富的数据分析工具和图形绘制功能,帮助用户快速处理和分析数据,并将结果以直观的图表形式展示。【安装步骤】1.鼠标右击【Ori...
数据分析网 专业数据分析服务
专业学术和研究领域的综合性数据分析服务平台
——————————————————————————————————————————————————————
本站教程已获得国家版权登记证书,受版权保护。未经授权,任何个人或机构不得以任何形式复制、传播、修改或用于商业目的。违反者将承担法律责任。
如需使用本站教程内容,请联系我们获取授权。谢谢合作!
以下为部分版权登记号:鲁作登字-2023-L-00466766   鲁作登字-2023-L-00466759   鲁作登字-2023-L-00466761   鲁作登字-2023-L-00466763   鲁作登字-2023-L-00466757