数据分析网

9.1、Mplus基于MLM的多水平中介效应分析—零基础入门教程

微信扫码观看完整版Mplus视频课程、分析师在线答疑解惑哦~

微信扫码-通用.jpg

视频教程
课程摘要

Mplus基于MLM的多水平中介效应分析是一种在Mplus软件中使用的统计模型,用于研究多层次数据中的中介效应。该模型结合了多层次线性模型(MLM)和中介效应分析的方法,可以同时考虑个体和群体水平的变量,并探索中介变量在个体和群体之间的传递机制。通过Mplus的多水平中介效应分析,研究人员可以估计个体和群体水平的中介效应,以及中介效应的变异性。该模型适用于各种研究领域,如教育、组织行为和社会科学等。Mplus提供了丰富的功能和选项,可以对多水平中介效应分析进行参数估计、模型拟合和模型比较。

【详细教程】

Mplus基于MLM的多水平中介效应分析


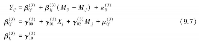
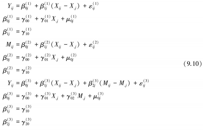
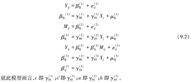
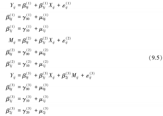
1.多水平固定中介效应分析


常见多水平固定中介效应模型( Krull    &   MacKinnon,2001;Zhang    et    al,   2009) 包括以下几种。


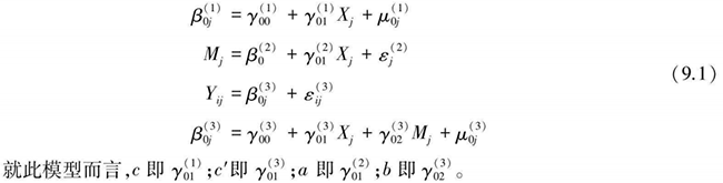
2-2-1模型:


1.png

1xu.png


2-1-1模型:


2.png


1-1-1模型:


3.png


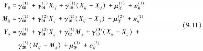
2.多水平随机中介效应分析


多水平随机中介效应模型可通过在水平-2增加水平-1对应斜率方程的残差项获得 (温忠麟等,2012:232-233)。

2-1-1模型:


4.png

4xu.png


1-1-1模型:


5.png


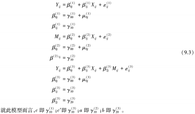
a、b、c、c'等系数与实际模型相应系数的对应关系与固定效应模型相同。


3.基于MLM的多水平中介效应分析存在的问题


基于MLM框架进行多水平中介效应分析中要注意变量中心化问题。如果不对多水平中介模型水平-1预测变量进行恰当的中心化,会引起组内效应(within-group effect)和组间效应(between-group effect)的混淆(Krull & MacKinnon, 2001; Zhang et al,2009; Preacher et al, 2011)。


6.png


比如,我们要研究学校学习氛围(X,) 通过学生阅读态度(M,) 对阅读得分(Y)的影响。对于这个2-1-1模型(见上图),实际上,在总的间接效应中, 一部分是学校整体学习氛围对学校学生总体阅读态度(以均值呈现)有影响,进而影响学生阅读得分;另外一部分是学生个体在不同学校整体学习氛围中,阅读态度个体之间存在差异,导致个体阅读成绩不同。传统的MLM无法区分出这一点,造成混淆。


以固定斜率的2-1-1模型为例,式9.2属于混淆的(conflated) 多水平回归模型。最后两个方程代入倒数第三个方程,得:


7.png


利用上述模型进行多水平分析,组间和组内效应混杂在一起。对中介变量做组均值中心化,可将中介效应的组内和组间部分区分开。


式9.2中,第三步对M, 取组均值中心化,并在水平-2截距方程中增加组均值,得到不混淆的(unconflated) 多水平回归模型:


8.png


最后两个方程代入倒数第三个方程,


9.png


这样,经过组中心化,区分出了组间中介效应。实际上,在2-1-1模型中,因为X,只有组间层面的方差,只能在水平-2组间变化。对某个固定的学校j而言,X,是个定值,其对水平-1M,并不能产生直接的影响,而是通过影响第j个个体所在群组的均值即M, 间接实现的。因此,路径a实际上属于水平-2。所以如果X, 只是影响M, 的组间部分,在1-1关系中M, 对Y,组内效应不应该包含在2-1-1的中介因果链条中。


在2-1-1模型中,组内个体围绕组均值的变化应视为随机,组内中介效应意义不大。 基于组中心化的2-1-1模型,多水平组间中介效应可以以γ6-y或γ6²xy6进行检验。


对于2-2-1模型,组均值中心化和总均值中心化(或直接使用原始变量形式)等价,中介效应不存在混淆的问题。对于式9.1所刻画的2-2-1模型,多水平组间中介可由yo- γo或γ6²×y进行检验。


在2-1-1模型,组均值中心化和总均值中心化不等价,应使用组均值中心化计算组水平中介效应。对M, 总均值中心化,暗含了较强的假设。对于式9.2,最后两个方程代入倒数第三个方程,整理得:


10.png


也就是说,假定了组间和组内效应相同,与式9.8比较,即强制γ²=yi。


模拟研究(Zhang   et   al,2009)表明,在2-1-1模型中,使用总均值中心化犯第I种类型错误的概率增加,在组内部分(1-1)存在或强而组间部分不存在或弱的时候,对不同层面的中介效应不加区分,整体高估中介效应,结果也会导致对组间效应的高估。而此时研究者可能更关心组间效应而不关注组内效应。为了避免此类错误,多水平中介效应分析(2-1-1、1-1-1模型)中,检验中介效应必须区分组间和组内不同的成分。


在2-1-1模型中, 一般都是关注组间中介效应。而在1-1-1模型中,情况更为复杂,可就是否存在组间的中介效应、组内中介效应,或就两种中介效应同时进行研究甚至进行大小的比较。如果将组间和组内部分混为一谈,会导致水平-1、水平-2 或两个层面中介效应的误识(Zhang   et   al,2009)。


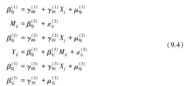
对于1-1-1模型,组均值中心化和总均值中心化不等价,应做组均值中心化来区分组 水平中介效应和个体水平中介效应。按传统的方法,是就式9.3中γi'-γi或yi²²×y20进行检验。但这样混淆了组内和组间中介效应,会导致水平-1、水平-2或两个水平同时中介效应的错误估计。

为了避免这个问题,可在1-1-1模型中,同时对X, 和M, 进行组中心化,并在水平-2

(针对水平-1截距即β的)方程中增加相应的组均值:


11.png


通过整理,得:


12.png


就上式组中心化处理的1-1-1模型,组内中介效应用 或yi²xy₂ " 来检验;组间中介效应可用或来检验。


基于 Ludtke et al(2008)、Preacher et al(2010;2011)、Preacher(2011)等研究, Preacher(2015)总结了基于MLM的中介效应分析的局限:


(1)2-1斜率其实对水平-2而言是特定的,非跨层的斜率;


(2)1-1效应是混淆的,除非对水平-1测量变量进行中心化, 但即使通过组均值中心化将混淆的效应分解为组特定的成分,以观测的组均值作为预测变量,水平-2效应仍然存在偏误;


(3)MLM不能处理结果变量处于高层的模型。相比之下,基于MSEM的多水平中介效应分析建模方式,更为富于弹性,估计结果也更具信度。



热门软件

热门软件

免费下载

【软件下载】点击下载:https://pan.baidu.com/s/13YlL_OVzOA17cLwizM3_Ow?pwd=8888‍‍‍提取码:8888【软件介绍】STATA软件是一款功能强大的统计分析工具,被广泛应用于社会科学、经济学、生物医学等领域。它提供了丰富的统计方法和数据处理功能,可以进行数据清洗、数据可视化、回归分析、时间序列分析等操作。【安装步骤】1. 鼠标右击【Stata...
【软件下载】点击下载:https://pan.baidu.com/s/1umK9awFRS2a_6X7Q3cZMaA?pwd=8888‍‍‍提取码:8888‍【软件介绍】EViews是一款功能强大的经济统计分析软件,广泛应用于经济学、金融学等领域。它提供了丰富的数据处理、分析和建模工具,能够帮助用户进行数据的可视化、回归分析、时间序列分析等操作。【安装步骤】1.鼠标右击【EViews13(6...
【软件下载】点击下载:https://pan.baidu-download.com/extract/matlab.html‍‍‍提取码:点击获取‍【软件介绍】MATLAB是一种高级技术计算和编程环境,广泛用于科学、工程和数学领域的数据分析、模拟和可视化。它是由MathWorks公司开发的,提供了丰富的函数库和工具箱,用于处理矩阵运算、信号处理、图像处理、优化、统计分析等各种任务。【安装步骤】...
【软件下载】百度云下载:https://pan.baidu.com/s/1n_mzTAHhPFuWfQ6Bv1CuCg?pwd=8888‍‍‍‍‍‍提取码:8888‍【软件介绍】Python是一种高级编程语言,具有简单易学、可读性强的特点。它被广泛应用于数据分析、人工智能、Web开发等领域。Python拥有丰富的库和框架,如NumPy、Pandas、TensorFlow等,可以方便地进行数据...
【软件下载】立即下载:https://pan.baidu.com/s/1Suf_R2i0d1zPCiICd6PduA?pwd=8888‍‍‍‍‍‍‍提取码:8888‍‍【软件介绍】RStudio是一款专业的集成开发环境(IDE),用于R语言的开发和数据分析。它提供了丰富的功能和工具,包括代码编辑、调试、数据可视化和报告生成等。通过RStudio,用户可以高效地编写和运行R代码,进行数据处理、...
【软件下载】点击下载:https://pan.baidu.com/s/1c9hcqPMTqikA7SA3w6PuSQ?pwd=8888‍‍提取码:8888‍【软件介绍】AMOS是一款广泛应用于社会科学、教育研究、市场调研等领域的统计分析软件,它提供了强大的功能和直观的界面,帮助用户进行复杂的结构方程建模和模型验证,从而深入分析数据之间的关系和影响。【安装步骤】1.鼠标右击【Amos28】压缩...
【软件下载】点击下载:https://pan.baidu-download.com/Extraction/Mplus.html提取码:点击获取‍【软件介绍】Mplus是一款专业的统计分析软件,主要用于结构方程模型(SEM)和混合效应模型(HLM)的建模和分析。Mplus提供了丰富的功能和工具,包括路径分析、因子分析、多水平建模等。Mplus的用户界面友好易用,支持图形化操作,使得模型构建和分...
【软件下载】点击下载:https://pan.baidu-download.com/Extraction/Origin.html提取码:点击获取‍【软件介绍】Origin是一款功能强大的科学数据分析和可视化软件,广泛应用于各个领域的数据处理和研究工作。Origin提供了丰富的数据分析工具和图形绘制功能,帮助用户快速处理和分析数据,并将结果以直观的图表形式展示。【安装步骤】1.鼠标右击【Ori...
【软件下载】百度云下载:https://pan.baidu.com/s/1CVXkLwjhLDw_7H6FV9O47Q‍‍‍‍‍提取码:点击获取【软件介绍】Excel是一款功能强大的电子表格软件,广泛应用于数据分析、数据处理和数据可视化。Excel提供了丰富的功能和工具,包括数据排序、筛选、公式计算、图表绘制等。它的用户界面简洁直观,操作便捷,适用于各种行业和领域。【安装步骤】1.选中下载的...
热门课程

热门课程

排行榜

【软件下载】点击下载:https://pan.baidu.com/s/13YlL_OVzOA17cLwizM3_Ow?pwd=8888‍‍‍提取码:8888【软件介绍】STATA软件是一款功能强大的统计分析工具,被广泛应用于社会科学、经济学、生物医学等领域。它提供了丰富的统计方法和数据处理功能,可以进行数据清洗、数据可视化、回归分析、时间序列分析等操作。【安装步骤】1. 鼠标右击【Stata...
【软件下载】点击下载:https://pan.baidu.com/s/1umK9awFRS2a_6X7Q3cZMaA?pwd=8888‍‍‍提取码:8888‍【软件介绍】EViews是一款功能强大的经济统计分析软件,广泛应用于经济学、金融学等领域。它提供了丰富的数据处理、分析和建模工具,能够帮助用户进行数据的可视化、回归分析、时间序列分析等操作。【安装步骤】1.鼠标右击【EViews13(6...
【软件下载】点击下载:https://pan.baidu-download.com/extract/matlab.html‍‍‍提取码:点击获取‍【软件介绍】MATLAB是一种高级技术计算和编程环境,广泛用于科学、工程和数学领域的数据分析、模拟和可视化。它是由MathWorks公司开发的,提供了丰富的函数库和工具箱,用于处理矩阵运算、信号处理、图像处理、优化、统计分析等各种任务。【安装步骤】...
【软件下载】百度云下载:https://pan.baidu.com/s/1n_mzTAHhPFuWfQ6Bv1CuCg?pwd=8888‍‍‍‍‍‍提取码:8888‍【软件介绍】Python是一种高级编程语言,具有简单易学、可读性强的特点。它被广泛应用于数据分析、人工智能、Web开发等领域。Python拥有丰富的库和框架,如NumPy、Pandas、TensorFlow等,可以方便地进行数据...
【软件下载】立即下载:https://pan.baidu.com/s/1Suf_R2i0d1zPCiICd6PduA?pwd=8888‍‍‍‍‍‍‍提取码:8888‍‍【软件介绍】RStudio是一款专业的集成开发环境(IDE),用于R语言的开发和数据分析。它提供了丰富的功能和工具,包括代码编辑、调试、数据可视化和报告生成等。通过RStudio,用户可以高效地编写和运行R代码,进行数据处理、...
【软件下载】点击下载:https://pan.baidu.com/s/1c9hcqPMTqikA7SA3w6PuSQ?pwd=8888‍‍提取码:8888‍【软件介绍】AMOS是一款广泛应用于社会科学、教育研究、市场调研等领域的统计分析软件,它提供了强大的功能和直观的界面,帮助用户进行复杂的结构方程建模和模型验证,从而深入分析数据之间的关系和影响。【安装步骤】1.鼠标右击【Amos28】压缩...
【软件下载】点击下载:https://pan.baidu-download.com/Extraction/Mplus.html提取码:点击获取‍【软件介绍】Mplus是一款专业的统计分析软件,主要用于结构方程模型(SEM)和混合效应模型(HLM)的建模和分析。Mplus提供了丰富的功能和工具,包括路径分析、因子分析、多水平建模等。Mplus的用户界面友好易用,支持图形化操作,使得模型构建和分...
【软件下载】点击下载:https://pan.baidu-download.com/Extraction/Origin.html提取码:点击获取‍【软件介绍】Origin是一款功能强大的科学数据分析和可视化软件,广泛应用于各个领域的数据处理和研究工作。Origin提供了丰富的数据分析工具和图形绘制功能,帮助用户快速处理和分析数据,并将结果以直观的图表形式展示。【安装步骤】1.鼠标右击【Ori...
数据分析网 专业数据分析服务
专业学术和研究领域的综合性数据分析服务平台
——————————————————————————————————————————————————————
本站教程已获得国家版权登记证书,受版权保护。未经授权,任何个人或机构不得以任何形式复制、传播、修改或用于商业目的。违反者将承担法律责任。
如需使用本站教程内容,请联系我们获取授权。谢谢合作!
以下为部分版权登记号:鲁作登字-2023-L-00466766   鲁作登字-2023-L-00466759   鲁作登字-2023-L-00466761   鲁作登字-2023-L-00466763   鲁作登字-2023-L-00466757