数据分析网

7.2、Mplus线性增长模型—零基础入门教程

微信扫码观看完整版Mplus视频课程、分析师在线答疑解惑哦~

微信扫码-通用.jpg

视频教程
课程摘要

Mplus线性增长模型是一种在Mplus软件中使用的统计模型,用于分析历时数据中的变化和发展。该模型假设个体在时间上呈现线性增长或线性减少的趋势。通过Mplus的线性增长模型,研究人员可以估计个体的初始状态和增长率,并探索个体之间的差异。该模型可以应用于各种研究领域,如教育、心理学和社会科学等。Mplus提供了丰富的功能和选项,可以对线性增长模型进行参数估计、模型拟合和模型比较。此外,Mplus还提供了多种统计指标和图形展示,帮助研究人员解释和呈现线性增长模型的结果。

【详细教程】

Mplus线性增长模型


一、无条件均值模型


最简单的线性增长模型即无条件均值模型(unconditional   means   model),相当于一般多水平回归模型中的空模型。

水平-1子模型:


3.png


水平-2子模型:


4.png


复合模型:


5.png3.png


其中,ea~N(0,σ²),To~N(0,Tw)。相应Mplus代码见下框。


6.png


运行上述代码,输出结果见下框。


7.png


无条件增长模型作为基准模型,将结果变量总方差拆分为个体内方差(with-person) α²和个体间方差(between-person)πo,由此可以计算ICC。 对于增长模型而言,ICC指的是结果变量总的方差当中个体间方差所占比例。 Mplus无条件增长模型结果已经输出了ICC,当然也可以自己计算:


8.png


无条件均值模型下的ICC也展现了残差自相关的大小。从结果来看,本例中该队列个体间方差所占比例个体各时期血压变化具有加高的组内相关。



二、无条件增长模型


在无条件均值基础上,水平-1方程纳入时间维度,即构成无条件增长模型(unconditional gro

wth model)。

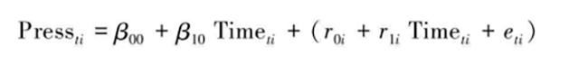
水平-1子模型:


9.png


水平-2子模型:


10.png


复合模型;


11.png


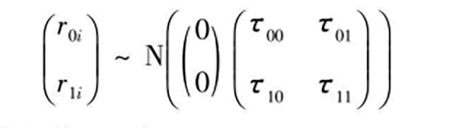
其中,e~N(0,a²),


12.png


在Mplus 中,该模型对应的代码见下框。


13.png


运行上述代码,输出结果见下框。


14.png


通过比较无条件均值模型和无条件成长模型,可以呈现加入时间变量后个体内部被时间因素解释的变差比例(Singer & Willett,2003:100)。


从结果来看,个体血压的线性变化中23.5%可由年龄的增加来解释。另外,无条件成长模型中,水平-2残差协方差反映了(未控制其他协变量的情况下)初始状态和变化速率之间的关系。比如,对于个体血压变化的问题,该指标意味着40—50岁队列开始血压较高者今后血压高增加得快(或者慢)。


从结果来看,总体来说,40—50岁初始血压和血压增长速率之间呈负向关系,且统计上显著。


三、增长模型中的协变量


增长模型中,协变量可以分为两种类型:


①非时变协变量(time-invariant   covariates),   即个体之间不同,但不随时间变化,解释了成长因素的变异;


②时变协变量(timeinvariantcovariates) 。 个体之间不同,也随着时间变化,解释了超出成长因素之外结果的变异。


纳入非时变协变量作为示例,下面在模型中纳入性别变量。由于性别是既定的,所以属于非时变协变量。

水平-1子模型:


15.png


水平-2子模型:


16.png


复合模型:


17.png



其中,e,~N(0,σ²)。


18.png


Mplus代码见下框。


21.png


对于线性增长模型,在未控制其他变量的情况下,从结果来看,性别因素对于血压的初始状态的解释统计上显著,但并未显著影响血压变化的速率。


平均来讲队列女性初始血压为86.645mmHg, 男性和女性初始血压差异为1.700mmHg。 女性血压增长速率为0.580mmHg, 男性和女性血压增长速率差异为-0.059mmHg, 但统计上不显著(p=0.358)。


与无条件成长模型相比,个体内方差成分(G²) 变化不大且依然显著,表明需要加入时变变量对血压变化加以解释。水平-2方差成分Tw、T只是略有变化,且显著,暗示仍需要探寻血压初始水平和成长速率方面残差变异的潜在解释。


纳入时变协变量考虑到血压与BMI指数有关,纳入BMI指数。与性别不同,由于每次测量时人们的身高、体重均会发生变化,所以BMI 指数属于时变协变量。

水平-1子模型:


23.png


水平-2子模型:


24.png


复合模型:


25.png

25.1.png


其中,


26.png


在多水平框架中,个体特定(person-sepecific)预测变量的效应对不同个体而言应是常量。对增长模型而言,非时变变量应符合这个规则。然而,对于时变变量,可以根据研究假设和数据情况,将时变变量设置为不同的情况:


27.png


意味着时变变量BMI只是在个体内部随时间而变化。


28.png


意味着时变变量BMI在队列的个体之间随机变化。


29.png


意味着BMI在个体之间的变化受到非时变变量Gender的影响。 上述模型对应的Mplus代码见下框。


30.png


另外,如果假定时变变量BMI也影响增长轨迹的斜率,可以在水平-1模型中增加Time;和BMI; 的交互项。该交互项同样也是时变变量,不同于混合模型中Gende,与Time;之间的交互项。如果该项统计上显著,意味着BMI对于血压的影响也会随着年龄的增加而变化。相应代码见下框。


32.png


运行上述代码,输出结果见下框。


33.png


整理上述模型结果到回归表,见下表。


34.png

34.1.png


注意,对于基于MLM 的增长模型,结果整理的格式与标准的MLM模型有所不同,是按照所谓“初始状态”(截距)和“增长速率”(斜率)来结构化的,但各要素其实与MLM-致,只是呈现的形式不同而已。 一般MLM结果也可以按照截距和斜率分开的格式进行整理。



热门软件

热门软件

免费下载

【软件下载】点击下载:https://pan.baidu.com/s/13YlL_OVzOA17cLwizM3_Ow?pwd=8888‍‍‍提取码:8888【软件介绍】STATA软件是一款功能强大的统计分析工具,被广泛应用于社会科学、经济学、生物医学等领域。它提供了丰富的统计方法和数据处理功能,可以进行数据清洗、数据可视化、回归分析、时间序列分析等操作。【安装步骤】1. 鼠标右击【Stata...
【软件下载】点击下载:https://pan.baidu.com/s/1umK9awFRS2a_6X7Q3cZMaA?pwd=8888‍‍‍提取码:8888‍【软件介绍】EViews是一款功能强大的经济统计分析软件,广泛应用于经济学、金融学等领域。它提供了丰富的数据处理、分析和建模工具,能够帮助用户进行数据的可视化、回归分析、时间序列分析等操作。【安装步骤】1.鼠标右击【EViews13(6...
【软件下载】点击下载:https://pan.baidu-download.com/extract/matlab.html‍‍‍提取码:点击获取‍【软件介绍】MATLAB是一种高级技术计算和编程环境,广泛用于科学、工程和数学领域的数据分析、模拟和可视化。它是由MathWorks公司开发的,提供了丰富的函数库和工具箱,用于处理矩阵运算、信号处理、图像处理、优化、统计分析等各种任务。【安装步骤】...
【软件下载】百度云下载:https://pan.baidu.com/s/1n_mzTAHhPFuWfQ6Bv1CuCg?pwd=8888‍‍‍‍‍‍提取码:8888‍【软件介绍】Python是一种高级编程语言,具有简单易学、可读性强的特点。它被广泛应用于数据分析、人工智能、Web开发等领域。Python拥有丰富的库和框架,如NumPy、Pandas、TensorFlow等,可以方便地进行数据...
【软件下载】立即下载:https://pan.baidu.com/s/1Suf_R2i0d1zPCiICd6PduA?pwd=8888‍‍‍‍‍‍‍提取码:8888‍‍【软件介绍】RStudio是一款专业的集成开发环境(IDE),用于R语言的开发和数据分析。它提供了丰富的功能和工具,包括代码编辑、调试、数据可视化和报告生成等。通过RStudio,用户可以高效地编写和运行R代码,进行数据处理、...
【软件下载】点击下载:https://pan.baidu.com/s/1c9hcqPMTqikA7SA3w6PuSQ?pwd=8888‍‍提取码:8888‍【软件介绍】AMOS是一款广泛应用于社会科学、教育研究、市场调研等领域的统计分析软件,它提供了强大的功能和直观的界面,帮助用户进行复杂的结构方程建模和模型验证,从而深入分析数据之间的关系和影响。【安装步骤】1.鼠标右击【Amos28】压缩...
【软件下载】点击下载:https://pan.baidu-download.com/Extraction/Mplus.html提取码:点击获取‍【软件介绍】Mplus是一款专业的统计分析软件,主要用于结构方程模型(SEM)和混合效应模型(HLM)的建模和分析。Mplus提供了丰富的功能和工具,包括路径分析、因子分析、多水平建模等。Mplus的用户界面友好易用,支持图形化操作,使得模型构建和分...
【软件下载】点击下载:https://pan.baidu-download.com/Extraction/Origin.html提取码:点击获取‍【软件介绍】Origin是一款功能强大的科学数据分析和可视化软件,广泛应用于各个领域的数据处理和研究工作。Origin提供了丰富的数据分析工具和图形绘制功能,帮助用户快速处理和分析数据,并将结果以直观的图表形式展示。【安装步骤】1.鼠标右击【Ori...
【软件下载】百度云下载:https://pan.baidu.com/s/1CVXkLwjhLDw_7H6FV9O47Q‍‍‍‍‍提取码:点击获取【软件介绍】Excel是一款功能强大的电子表格软件,广泛应用于数据分析、数据处理和数据可视化。Excel提供了丰富的功能和工具,包括数据排序、筛选、公式计算、图表绘制等。它的用户界面简洁直观,操作便捷,适用于各种行业和领域。【安装步骤】1.选中下载的...
热门课程

热门课程

排行榜

【软件下载】点击下载:https://pan.baidu.com/s/13YlL_OVzOA17cLwizM3_Ow?pwd=8888‍‍‍提取码:8888【软件介绍】STATA软件是一款功能强大的统计分析工具,被广泛应用于社会科学、经济学、生物医学等领域。它提供了丰富的统计方法和数据处理功能,可以进行数据清洗、数据可视化、回归分析、时间序列分析等操作。【安装步骤】1. 鼠标右击【Stata...
【软件下载】点击下载:https://pan.baidu.com/s/1umK9awFRS2a_6X7Q3cZMaA?pwd=8888‍‍‍提取码:8888‍【软件介绍】EViews是一款功能强大的经济统计分析软件,广泛应用于经济学、金融学等领域。它提供了丰富的数据处理、分析和建模工具,能够帮助用户进行数据的可视化、回归分析、时间序列分析等操作。【安装步骤】1.鼠标右击【EViews13(6...
【软件下载】点击下载:https://pan.baidu-download.com/extract/matlab.html‍‍‍提取码:点击获取‍【软件介绍】MATLAB是一种高级技术计算和编程环境,广泛用于科学、工程和数学领域的数据分析、模拟和可视化。它是由MathWorks公司开发的,提供了丰富的函数库和工具箱,用于处理矩阵运算、信号处理、图像处理、优化、统计分析等各种任务。【安装步骤】...
【软件下载】百度云下载:https://pan.baidu.com/s/1n_mzTAHhPFuWfQ6Bv1CuCg?pwd=8888‍‍‍‍‍‍提取码:8888‍【软件介绍】Python是一种高级编程语言,具有简单易学、可读性强的特点。它被广泛应用于数据分析、人工智能、Web开发等领域。Python拥有丰富的库和框架,如NumPy、Pandas、TensorFlow等,可以方便地进行数据...
【软件下载】立即下载:https://pan.baidu.com/s/1Suf_R2i0d1zPCiICd6PduA?pwd=8888‍‍‍‍‍‍‍提取码:8888‍‍【软件介绍】RStudio是一款专业的集成开发环境(IDE),用于R语言的开发和数据分析。它提供了丰富的功能和工具,包括代码编辑、调试、数据可视化和报告生成等。通过RStudio,用户可以高效地编写和运行R代码,进行数据处理、...
【软件下载】点击下载:https://pan.baidu.com/s/1c9hcqPMTqikA7SA3w6PuSQ?pwd=8888‍‍提取码:8888‍【软件介绍】AMOS是一款广泛应用于社会科学、教育研究、市场调研等领域的统计分析软件,它提供了强大的功能和直观的界面,帮助用户进行复杂的结构方程建模和模型验证,从而深入分析数据之间的关系和影响。【安装步骤】1.鼠标右击【Amos28】压缩...
【软件下载】点击下载:https://pan.baidu-download.com/Extraction/Mplus.html提取码:点击获取‍【软件介绍】Mplus是一款专业的统计分析软件,主要用于结构方程模型(SEM)和混合效应模型(HLM)的建模和分析。Mplus提供了丰富的功能和工具,包括路径分析、因子分析、多水平建模等。Mplus的用户界面友好易用,支持图形化操作,使得模型构建和分...
【软件下载】点击下载:https://pan.baidu-download.com/Extraction/Origin.html提取码:点击获取‍【软件介绍】Origin是一款功能强大的科学数据分析和可视化软件,广泛应用于各个领域的数据处理和研究工作。Origin提供了丰富的数据分析工具和图形绘制功能,帮助用户快速处理和分析数据,并将结果以直观的图表形式展示。【安装步骤】1.鼠标右击【Ori...
数据分析网 专业数据分析服务
专业学术和研究领域的综合性数据分析服务平台
——————————————————————————————————————————————————————
本站教程已获得国家版权登记证书,受版权保护。未经授权,任何个人或机构不得以任何形式复制、传播、修改或用于商业目的。违反者将承担法律责任。
如需使用本站教程内容,请联系我们获取授权。谢谢合作!
以下为部分版权登记号:鲁作登字-2023-L-00466766   鲁作登字-2023-L-00466759   鲁作登字-2023-L-00466761   鲁作登字-2023-L-00466763   鲁作登字-2023-L-00466757