数据分析网

6.8、Mplus模型拟合—零基础入门教程

微信扫码观看完整版Mplus视频课程、分析师在线答疑解惑哦~

微信扫码-通用.jpg

视频教程
课程摘要

Mplus是一种统计建模软件,用于拟合结构方程模型(SEM)和其他多变量统计模型。它提供了广泛的分析工具,可用于研究社会科学、教育、心理学和医学等领域的数据。Mplus的主要功能包括参数估计、模型拟合、模型比较和模型修正指数等。它支持多种模型类型,如路径分析、因子分析、随机效应模型和混合效应模型等。Mplus还具有灵活的数据处理功能,可以处理缺失数据、分类数据和多级数据等。通过Mplus,研究人员可以对复杂的数据进行建模和分析,从而深入了解变量之间的关系和影响因素。Mplus的使用简便且功能强大,因此在社会科学研究中得到了广泛的应用。

【详细教程】

Mplus模型拟合


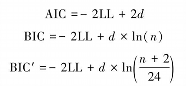
对数似然值(log likelihood)可以用来评估模型的拟合程度。 Mplus输出结果中,提供了log likelihood值。该值越大(绝对值越小),表示模型对数据拟合越好。


一些处理多水平模型的软件,输出-2LL, 即-2xloglikelihood,该值越小越好。有的软件(如 HLM) 还提供了偏差统计(deviance statistic),即-2LL。


Mplus也为模型提供了多种信息标准测量(information Criteria):AIC(Akaike)、BIC (Bayesian) 、Adjusted BIC(Sample-Size Adjusted BIC)。这些值也是越小越好。


1.png


对于非嵌套模型,不能使用LR检验(或 Deviance Test,Chi-Square Difference test)。 此时可以使用信息标准统计量,如AIC、BIC等。实际上这些指标也可以用来对嵌套模型进行比较。这些指标越小,表明模型拟合数据越好。


这些指标可以在相对意义上用来进行基于相同数据的模型比较,但在绝对意义上并不能说明单一模型本身是否拟合数据。


一、Raudenbush & Bryk拟合指数


对于一般的多元线性回归模型,R²代表解释的方差所占比例(explained proportion of varian

ce), 可以衡量模型中自变量对因变量的解释力。但在多水平回归模型中,则没有这么直观,很难给出一个简单适用的R²。


Raudenbush & Bryk(2002) 的方法是:水平-1所解释的方差比例,即将自变量X纳入水平-1模型,水平-1削减方差比例,或“解释方差比例”。可以通过比较拟合模型的残差σ²估计值和基准模型或参照模型的σ²估计值得到。水平-1参照模型一般选取带随机效应的ANOVA模型(即空模型)。


2.png



带有随机效应单因素协方差分析(3)与空模型(1)相比,水平-1增加了hisei变量,模型中α²由5753.248减少为5477.431,(5753.248-5477.431)/5753.248≈0.048, 这意味着该变量增设,使得校内方差减少了4.8%,也就是说社会经济地位可以解释学生层次数学成绩方差的4.8%。


水平-2各β,所解释方差的比例,即将自变量W纳入水平-2模型来解释某一β时,这一水平-1随机系数(包括截距与斜率)的方差削减比例或解释方差比例。该指标通过比较由拟合模型的残差估计值和某一参照模型的估计值计算而得。水平-2参照模型一般选取随机系数回归模型。


3.png


如截距和斜率为结果的模型(5)与随机系数回归(4)模型,水平-2增加了学校类型变量,To由1651.775减少为1621.901,相对变化量为(1651.775-1621.901)/1651.775≈0.018, 意味着学校类型解释了学校之间数学成绩实际差异的1.8%。


需要注意的是,水平-2参数解释的方差,是以水平-1模型设置不变为条件的。因此, 需要先建立水平-1模型,然后再纳入水平-2预测变量(Raudenbush   &   Bryk,2002)。


二、Snijders & Bosker 拟合指数


Snijders   &   Bosker(1999,2012)认为,把随机效应模型估计的方差成分σ²和t²作为R²的替代存在问题:存在多个方差成分导致数个R²值,而且增加变量有时会增加而非减少方差成分甚至出现负的R² 。他们主张仿照一般多元回归模型"削减误差例" (proportional reduction of error)的方式,将多水平回归模型Ri 和R₂ 定义为预测水平-1结果和组均值时的削减误差比例。对于一般多元线性回归模型,以一种与R² 等价的方式,构建预测值均方误差消减比例

(proportional reduction of the mean squared error of prediction):


4.png


在多水平框架下,需要区分预测个体结果误差削减比例和预测组群均值削减误差比例。暂不计随机斜率,水平-1解释方差比例定义为均方预测误差:


5.png



对于结果变量 pvlmath,方差即Var(Y,) 可通过空模型(1)中的组内方差σ²和组间方差加总获得,其值为1922.240+5753.248=7675.488。当然也可通过在空模型代码OUTPUT模块中增加SAMPSTAT选项或在其他统计软件中直接计算(不同方式可能略有出人)。水平-1纳入解释变量(3)hisei后,C²+t=1429. 185+5477.431=6906.616 。


6.png


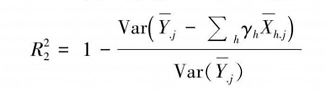
因此,R²= 1-6906.616/7675.488≈10.0%。对于水平-2,方差解释比例也可定义为均方预测误差削减比例。


7.png



其中,


8.png


其中,n为样本量。当各组样本量不同时,可以取均值。对于PISA数据,平均组样本量为32。对原始数据按照学校进行聚合后,可方便计算结果变量pvlmath组群均值方差即Var

(Y,) 为2132.134。


水平-2纳入解释变量sector(2)后 ,G²/n+t 。²=5753.070/32+1813.359=1993.1424。

因此,R₂=1- 1993. 1424/2132. 134≈6.5%。


随机截距模型中,估计Ri、R₂ 非常容易,而在随机斜率模型则比较麻烦。但一般来说,纳入随机斜率后,Ri、R₂一般变化不大。最简单的方法是,忽略随机斜率,以相同的固定部分,重新估计模型。即利用随机截距模型,计算R7、R₂。当组样本量较大时,²/n 趋近于0,两种方法估计的拟合优度值就很接近。



热门软件

热门软件

免费下载

【软件下载】点击下载:https://pan.baidu.com/s/13YlL_OVzOA17cLwizM3_Ow?pwd=8888‍‍‍提取码:8888【软件介绍】STATA软件是一款功能强大的统计分析工具,被广泛应用于社会科学、经济学、生物医学等领域。它提供了丰富的统计方法和数据处理功能,可以进行数据清洗、数据可视化、回归分析、时间序列分析等操作。【安装步骤】1. 鼠标右击【Stata...
【软件下载】点击下载:https://pan.baidu.com/s/1umK9awFRS2a_6X7Q3cZMaA?pwd=8888‍‍‍提取码:8888‍【软件介绍】EViews是一款功能强大的经济统计分析软件,广泛应用于经济学、金融学等领域。它提供了丰富的数据处理、分析和建模工具,能够帮助用户进行数据的可视化、回归分析、时间序列分析等操作。【安装步骤】1.鼠标右击【EViews13(6...
【软件下载】点击下载:https://pan.baidu-download.com/extract/matlab.html‍‍‍提取码:点击获取‍【软件介绍】MATLAB是一种高级技术计算和编程环境,广泛用于科学、工程和数学领域的数据分析、模拟和可视化。它是由MathWorks公司开发的,提供了丰富的函数库和工具箱,用于处理矩阵运算、信号处理、图像处理、优化、统计分析等各种任务。【安装步骤】...
【软件下载】百度云下载:https://pan.baidu.com/s/1n_mzTAHhPFuWfQ6Bv1CuCg?pwd=8888‍‍‍‍‍‍提取码:8888‍【软件介绍】Python是一种高级编程语言,具有简单易学、可读性强的特点。它被广泛应用于数据分析、人工智能、Web开发等领域。Python拥有丰富的库和框架,如NumPy、Pandas、TensorFlow等,可以方便地进行数据...
【软件下载】立即下载:https://pan.baidu.com/s/1Suf_R2i0d1zPCiICd6PduA?pwd=8888‍‍‍‍‍‍‍提取码:8888‍‍【软件介绍】RStudio是一款专业的集成开发环境(IDE),用于R语言的开发和数据分析。它提供了丰富的功能和工具,包括代码编辑、调试、数据可视化和报告生成等。通过RStudio,用户可以高效地编写和运行R代码,进行数据处理、...
【软件下载】点击下载:https://pan.baidu.com/s/1c9hcqPMTqikA7SA3w6PuSQ?pwd=8888‍‍提取码:8888‍【软件介绍】AMOS是一款广泛应用于社会科学、教育研究、市场调研等领域的统计分析软件,它提供了强大的功能和直观的界面,帮助用户进行复杂的结构方程建模和模型验证,从而深入分析数据之间的关系和影响。【安装步骤】1.鼠标右击【Amos28】压缩...
【软件下载】点击下载:https://pan.baidu-download.com/Extraction/Mplus.html提取码:点击获取‍【软件介绍】Mplus是一款专业的统计分析软件,主要用于结构方程模型(SEM)和混合效应模型(HLM)的建模和分析。Mplus提供了丰富的功能和工具,包括路径分析、因子分析、多水平建模等。Mplus的用户界面友好易用,支持图形化操作,使得模型构建和分...
【软件下载】点击下载:https://pan.baidu-download.com/Extraction/Origin.html提取码:点击获取‍【软件介绍】Origin是一款功能强大的科学数据分析和可视化软件,广泛应用于各个领域的数据处理和研究工作。Origin提供了丰富的数据分析工具和图形绘制功能,帮助用户快速处理和分析数据,并将结果以直观的图表形式展示。【安装步骤】1.鼠标右击【Ori...
【软件下载】百度云下载:https://pan.baidu.com/s/1CVXkLwjhLDw_7H6FV9O47Q‍‍‍‍‍提取码:点击获取【软件介绍】Excel是一款功能强大的电子表格软件,广泛应用于数据分析、数据处理和数据可视化。Excel提供了丰富的功能和工具,包括数据排序、筛选、公式计算、图表绘制等。它的用户界面简洁直观,操作便捷,适用于各种行业和领域。【安装步骤】1.选中下载的...
热门课程

热门课程

排行榜

【软件下载】点击下载:https://pan.baidu.com/s/13YlL_OVzOA17cLwizM3_Ow?pwd=8888‍‍‍提取码:8888【软件介绍】STATA软件是一款功能强大的统计分析工具,被广泛应用于社会科学、经济学、生物医学等领域。它提供了丰富的统计方法和数据处理功能,可以进行数据清洗、数据可视化、回归分析、时间序列分析等操作。【安装步骤】1. 鼠标右击【Stata...
【软件下载】点击下载:https://pan.baidu.com/s/1umK9awFRS2a_6X7Q3cZMaA?pwd=8888‍‍‍提取码:8888‍【软件介绍】EViews是一款功能强大的经济统计分析软件,广泛应用于经济学、金融学等领域。它提供了丰富的数据处理、分析和建模工具,能够帮助用户进行数据的可视化、回归分析、时间序列分析等操作。【安装步骤】1.鼠标右击【EViews13(6...
【软件下载】点击下载:https://pan.baidu-download.com/extract/matlab.html‍‍‍提取码:点击获取‍【软件介绍】MATLAB是一种高级技术计算和编程环境,广泛用于科学、工程和数学领域的数据分析、模拟和可视化。它是由MathWorks公司开发的,提供了丰富的函数库和工具箱,用于处理矩阵运算、信号处理、图像处理、优化、统计分析等各种任务。【安装步骤】...
【软件下载】百度云下载:https://pan.baidu.com/s/1n_mzTAHhPFuWfQ6Bv1CuCg?pwd=8888‍‍‍‍‍‍提取码:8888‍【软件介绍】Python是一种高级编程语言,具有简单易学、可读性强的特点。它被广泛应用于数据分析、人工智能、Web开发等领域。Python拥有丰富的库和框架,如NumPy、Pandas、TensorFlow等,可以方便地进行数据...
【软件下载】立即下载:https://pan.baidu.com/s/1Suf_R2i0d1zPCiICd6PduA?pwd=8888‍‍‍‍‍‍‍提取码:8888‍‍【软件介绍】RStudio是一款专业的集成开发环境(IDE),用于R语言的开发和数据分析。它提供了丰富的功能和工具,包括代码编辑、调试、数据可视化和报告生成等。通过RStudio,用户可以高效地编写和运行R代码,进行数据处理、...
【软件下载】点击下载:https://pan.baidu.com/s/1c9hcqPMTqikA7SA3w6PuSQ?pwd=8888‍‍提取码:8888‍【软件介绍】AMOS是一款广泛应用于社会科学、教育研究、市场调研等领域的统计分析软件,它提供了强大的功能和直观的界面,帮助用户进行复杂的结构方程建模和模型验证,从而深入分析数据之间的关系和影响。【安装步骤】1.鼠标右击【Amos28】压缩...
【软件下载】点击下载:https://pan.baidu-download.com/Extraction/Mplus.html提取码:点击获取‍【软件介绍】Mplus是一款专业的统计分析软件,主要用于结构方程模型(SEM)和混合效应模型(HLM)的建模和分析。Mplus提供了丰富的功能和工具,包括路径分析、因子分析、多水平建模等。Mplus的用户界面友好易用,支持图形化操作,使得模型构建和分...
【软件下载】点击下载:https://pan.baidu-download.com/Extraction/Origin.html提取码:点击获取‍【软件介绍】Origin是一款功能强大的科学数据分析和可视化软件,广泛应用于各个领域的数据处理和研究工作。Origin提供了丰富的数据分析工具和图形绘制功能,帮助用户快速处理和分析数据,并将结果以直观的图表形式展示。【安装步骤】1.鼠标右击【Ori...
数据分析网 专业数据分析服务
专业学术和研究领域的综合性数据分析服务平台
——————————————————————————————————————————————————————
本站教程已获得国家版权登记证书,受版权保护。未经授权,任何个人或机构不得以任何形式复制、传播、修改或用于商业目的。违反者将承担法律责任。
如需使用本站教程内容,请联系我们获取授权。谢谢合作!
以下为部分版权登记号:鲁作登字-2023-L-00466766   鲁作登字-2023-L-00466759   鲁作登字-2023-L-00466761   鲁作登字-2023-L-00466763   鲁作登字-2023-L-00466757