数据分析网

6.2、Mplus多水平回归模型的优势—零基础入门教程

微信扫码观看完整版Mplus视频课程、分析师在线答疑解惑哦~

微信扫码-通用.jpg

视频教程
课程摘要

Mplus多水平回归模型在分析嵌套数据时具有许多优势。首先,它可以考虑到个体数据存在于群组或层次结构中的相关性,避免了传统OLS回归模型中忽略嵌套结构所带来的偏误。其次,Mplus多水平回归模型可以同时估计个体和群组水平的回归系数,提供了更全面的分析结果。此外,Mplus还可以估计群组之间的差异,并提供有关群组间变异的信息。另外,Mplus多水平回归模型还可以处理不完全数据和缺失数据,提高了分析的灵活性和鲁棒性。总之,Mplus多水平回归模型为研究人员提供了一种强大的工具,可以更准确地分析和解释嵌套数据中的个体和群组之间的关系。

【详细教程】

Mplus多水平回归模型的优势


当然,如果不使用多水平回归模型,也有一些替代性的方法。对于嵌套结构的数据, 最简单的处理方式可能就是忽略群组层面变量,只用当前层面的变量进行分析。比如对于PISA 数据,在研究学生个体的数据中数学成绩决定因素时,只纳入性别、家庭社会经济地位等个体层面变量。然而,这样没有解决由于数据嵌套而带来的违反误差项独立假定的问题,还因为忽略重要的学校属性变量而可能导致出现误差项与自变量相关的内生性(endogenity)问题,造成系数估计有偏。这种完全忽视组间变异的模型也称作整体或混合回归。


从下表可看到,如果只考虑个体层面的变量,省略重要自变量包括水平-2变量,家庭社会经济地位(hisei)对数学成绩回归系数的估计有偏(参照其他模型,可以看到这里是高估),而标准误则被低估,这容易造成拒绝原假设接受研究假设的结果。


1.png


在回归模型3中加入水平-2的各学校学生家庭社会经济地位均值(grouphises)变量,得到脉络回归(contextual regression)。 将水平-2变量直接纳入水平-1属于聚解 (disaggregation)方式,显然没有考虑数据嵌套结构,误差项相互独立的假设被破坏,回归系数标准误仍然被低估,而且可能会引入多重共线性。


Cronbach 模型同时在模型中纳入经过中心化的个体效果(X,-X,) 和组群团体效果 (X,-X), 二者为正交关系。该模型解决了个体层次与聚合变量之间存在的共线性问题,但回归系数标准误被低估,原因在于组内相关以及回归系数标准误计算观测值并非真正的组群数( Cronbach,1976; Kreft & De Leeuw,1998)。


对于嵌套数据,另一种处理方式是将所有变量汇总到群组层面,从研究学生到研究学校,然后使用一般回归模型,即所谓组间效应模型( between effect model)或聚合模型(aggregated regression)。 在PISA数据中,可将数学成绩得分聚合到水平-2,然后对各学 校数学平均成绩和学生平均社会经济地位进行回归分析。


这种模型的变量虽然均处于同一层次,避免了使用一般模型估计嵌套数据存在的问题,但由于分析层次的变换,完全忽略了组内变异,损失了大量水平-1单位信息,而且在 群组层面所得结论并不能推论到个体层面,否则会出现“生态谬误”的问题。比如,在国家层面,富裕的国家对社会福利支持更高,但不能由此推论富人更支持社会福利。也就是说富裕在组间和组内有相反的效应。这样的结果通常是遗漏水平-1的重要变量引走的。如果控制了政治保守性,两个层面效应可能会一致。


从下表结果来看,在学校层面,学生家庭社会经济地位指数平均值每增加1分,学校学生数学成绩平均分增加5分左右,远远超出学生个体层面家庭社会社会经济地位指数与数学成绩之间的系数估计。实际上,这本来也说的是两个不同层面的问题。


2.png


变量 grouphisei是通过水平-1变量hisei的聚合(aggregation)而得。所谓聚合即样本构成特征或样本内某类型个体汇总(一般为均值或百分比),不过水平-2师资水平、硬件设施等信息属于整体特征(global characteristics),只能在群组层面收集。在一些文献中, 前者称为“情境变量”(contextual variables),后者称为“整体变量”(global 或 integral variables)(Blakely & Woodward, 2000; Enders & Tofighi,2007)。


加入区别不同组群的虚拟变量(dummy variables)到回归模型中,构成所谓“虚拟变量回归”,每个组群有不同的截距,从而吸收了组群间的变差(也包括相关的误差项)。这样,每一组群都会得到不同的截距,除了误差项外,其他变量与因变量的关系只是在组群内解读。


3.png



这种方法简单易行,但如果组群数比较多,模型过于繁琐,结果解读也有困难。而且由于模型主要关注组内变异,如果组内变异不大,或更关注组间变异,这种方式不适用。 这种处理方式用虚拟变量拟合高水平的固定效应,本质上属于固定效应模型,可用更简单的方式来处理。


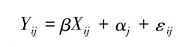
固定效应模型( fixed effects model,或 within-group effects)是用来处理聚类数据的常用方法之一。


固定效应模型:


4.png


其中,i代表j个组群中的某个体;如果是重复测量,也可能是j个体的第i次测量。α;对于每个组群或重复观测个体取值不同,代表非观测的(实际上观测因素也可以包括在内)、各组群的某种整体特征,如国家历史、制度或重复观测个体不随时间而变化的因素(比如能力)。 αa;可与X,相关,即 Cov(α,X,)≠0。由于αa;难以直接观测,FEM一般通过离均差法(mean   deviation)的组内(within)转换,消除了α,因为α;=α:


5.png



另一种within转换是为每个群体或重复观测个体加一个指示用的虚拟变量,即“虚拟变量法"。如果是重复观测,也可以用前后时点数据相减,形成一阶差分(first   difference)。


转换之后,不管是解释变量还是误差部分,模型看起来只包括组内变差。经过转换可以使用OLS估计回归系数,不过回归系数无偏,但标准误和p值因模型估计时潜在使用了代表样本内中不同个体虚拟变量的个数而可能产生新的问题,所以最好使用某些软件提供的FEM 命令进行估计(Allison,2009)[2]。


组内效应(within-effect)与组间效应(between-effect)之间存在什么关系呢?一般来讲,组内效应与组间效应方向多是一致的。比如学习努力的学生成绩好,而那些拥有更多努力学习的学生的班级,平均成绩也好。但大部分时候,变量之间的关系强度在组内和组间是不同的,甚至有时关系方向是相反的。比如富人不支持社会福利,但拥有更多富人、人均收入高的国家,可能是高福利国家。实际上,整体回归系数可以被表达为组内和组间系数的加权平均值,参见下图(Snijders & Bosker, 2012:31)。


6.png


从上述模型来看,聚合回归只关注组间变化,组内回归主要关注组内变化。实际上, 可以在同一个模型中纳入组间和组内效应。可以将某个变量如SEI,在各组之内取均值, 再用组内各SEI值减去组均值。两个变量同时纳入带有随机效应的模型,分别估计组间和组内效应。


7.png



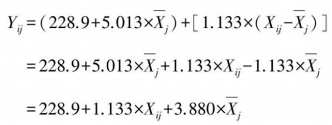
以PISA数据为例,暂不考虑残差项,针对hisei与pvlmath之间的关系,已经估计得到如下回归方程:

整体回归:


8.png


组间回归:


9.png


组内回归,这里采取OLS估计:


10.png


将Y,移到等号右侧,


11.png


将组间回归方程方程带入上式,


12.png


上式其实即可以看作多水平随机截距模型的固定部分,水平-2截距方程含水平-1变量的聚合变量。这表明,只有将组内模型和组间模型联合考虑也就是采取多水平回归模型,才能揭示这里自变量和因变量的真实关系(Snijders & Bosker, 2012:29)。


多水平回归模型契合嵌套数据结构,与传统的单水平模型相比,多水平回归模型纳入不同层次的因素,同时又保持这些因素在各自的层次,避免了聚合(aggregation)或聚解 (disaggregation)带来的问题。可将宏观、微观因素纳入同一个模型,并对跨水平交互作用进行研究。


比如,如果假定不同的学校学生有不同的数学成绩得分,那么就可以构造一 个截距模型。如果SES对数学成绩的影响在不同的学校也存在不同模式,那就是斜率也发生变化的模型,见下图。


另外,多水平回归模型据可采取多种估计方法和算法进行估计,具有更好的实用性,有效改进估计的质量,可提供稳健的标准误估计。


篇幅所限,内容以两水平和结果变量为连续变量的示例为主。实际上,Mplus目前版本已支持三水平建模,同时只需在变量设定部分指定变量的类型,就可以方便地将模型扩展到二分、多分类、定序、计数乃至截取等不同的情况,并且可与潜类分析相结合构成混合模型。这正是Mplus强大之处的一个体现。


13.png



热门软件

热门软件

免费下载

【软件下载】点击下载:https://pan.baidu.com/s/13YlL_OVzOA17cLwizM3_Ow?pwd=8888‍‍‍提取码:8888【软件介绍】STATA软件是一款功能强大的统计分析工具,被广泛应用于社会科学、经济学、生物医学等领域。它提供了丰富的统计方法和数据处理功能,可以进行数据清洗、数据可视化、回归分析、时间序列分析等操作。【安装步骤】1. 鼠标右击【Stata...
【软件下载】点击下载:https://pan.baidu.com/s/1umK9awFRS2a_6X7Q3cZMaA?pwd=8888‍‍‍提取码:8888‍【软件介绍】EViews是一款功能强大的经济统计分析软件,广泛应用于经济学、金融学等领域。它提供了丰富的数据处理、分析和建模工具,能够帮助用户进行数据的可视化、回归分析、时间序列分析等操作。【安装步骤】1.鼠标右击【EViews13(6...
【软件下载】点击下载:https://pan.baidu-download.com/extract/matlab.html‍‍‍提取码:点击获取‍【软件介绍】MATLAB是一种高级技术计算和编程环境,广泛用于科学、工程和数学领域的数据分析、模拟和可视化。它是由MathWorks公司开发的,提供了丰富的函数库和工具箱,用于处理矩阵运算、信号处理、图像处理、优化、统计分析等各种任务。【安装步骤】...
【软件下载】百度云下载:https://pan.baidu.com/s/1n_mzTAHhPFuWfQ6Bv1CuCg?pwd=8888‍‍‍‍‍‍提取码:8888‍【软件介绍】Python是一种高级编程语言,具有简单易学、可读性强的特点。它被广泛应用于数据分析、人工智能、Web开发等领域。Python拥有丰富的库和框架,如NumPy、Pandas、TensorFlow等,可以方便地进行数据...
【软件下载】立即下载:https://pan.baidu.com/s/1Suf_R2i0d1zPCiICd6PduA?pwd=8888‍‍‍‍‍‍‍提取码:8888‍‍【软件介绍】RStudio是一款专业的集成开发环境(IDE),用于R语言的开发和数据分析。它提供了丰富的功能和工具,包括代码编辑、调试、数据可视化和报告生成等。通过RStudio,用户可以高效地编写和运行R代码,进行数据处理、...
【软件下载】点击下载:https://pan.baidu.com/s/1c9hcqPMTqikA7SA3w6PuSQ?pwd=8888‍‍提取码:8888‍【软件介绍】AMOS是一款广泛应用于社会科学、教育研究、市场调研等领域的统计分析软件,它提供了强大的功能和直观的界面,帮助用户进行复杂的结构方程建模和模型验证,从而深入分析数据之间的关系和影响。【安装步骤】1.鼠标右击【Amos28】压缩...
【软件下载】点击下载:https://pan.baidu-download.com/Extraction/Mplus.html提取码:点击获取‍【软件介绍】Mplus是一款专业的统计分析软件,主要用于结构方程模型(SEM)和混合效应模型(HLM)的建模和分析。Mplus提供了丰富的功能和工具,包括路径分析、因子分析、多水平建模等。Mplus的用户界面友好易用,支持图形化操作,使得模型构建和分...
【软件下载】点击下载:https://pan.baidu-download.com/Extraction/Origin.html提取码:点击获取‍【软件介绍】Origin是一款功能强大的科学数据分析和可视化软件,广泛应用于各个领域的数据处理和研究工作。Origin提供了丰富的数据分析工具和图形绘制功能,帮助用户快速处理和分析数据,并将结果以直观的图表形式展示。【安装步骤】1.鼠标右击【Ori...
【软件下载】百度云下载:https://pan.baidu.com/s/1CVXkLwjhLDw_7H6FV9O47Q‍‍‍‍‍提取码:点击获取【软件介绍】Excel是一款功能强大的电子表格软件,广泛应用于数据分析、数据处理和数据可视化。Excel提供了丰富的功能和工具,包括数据排序、筛选、公式计算、图表绘制等。它的用户界面简洁直观,操作便捷,适用于各种行业和领域。【安装步骤】1.选中下载的...
热门课程

热门课程

排行榜

【软件下载】点击下载:https://pan.baidu.com/s/13YlL_OVzOA17cLwizM3_Ow?pwd=8888‍‍‍提取码:8888【软件介绍】STATA软件是一款功能强大的统计分析工具,被广泛应用于社会科学、经济学、生物医学等领域。它提供了丰富的统计方法和数据处理功能,可以进行数据清洗、数据可视化、回归分析、时间序列分析等操作。【安装步骤】1. 鼠标右击【Stata...
【软件下载】点击下载:https://pan.baidu.com/s/1umK9awFRS2a_6X7Q3cZMaA?pwd=8888‍‍‍提取码:8888‍【软件介绍】EViews是一款功能强大的经济统计分析软件,广泛应用于经济学、金融学等领域。它提供了丰富的数据处理、分析和建模工具,能够帮助用户进行数据的可视化、回归分析、时间序列分析等操作。【安装步骤】1.鼠标右击【EViews13(6...
【软件下载】点击下载:https://pan.baidu-download.com/extract/matlab.html‍‍‍提取码:点击获取‍【软件介绍】MATLAB是一种高级技术计算和编程环境,广泛用于科学、工程和数学领域的数据分析、模拟和可视化。它是由MathWorks公司开发的,提供了丰富的函数库和工具箱,用于处理矩阵运算、信号处理、图像处理、优化、统计分析等各种任务。【安装步骤】...
【软件下载】百度云下载:https://pan.baidu.com/s/1n_mzTAHhPFuWfQ6Bv1CuCg?pwd=8888‍‍‍‍‍‍提取码:8888‍【软件介绍】Python是一种高级编程语言,具有简单易学、可读性强的特点。它被广泛应用于数据分析、人工智能、Web开发等领域。Python拥有丰富的库和框架,如NumPy、Pandas、TensorFlow等,可以方便地进行数据...
【软件下载】立即下载:https://pan.baidu.com/s/1Suf_R2i0d1zPCiICd6PduA?pwd=8888‍‍‍‍‍‍‍提取码:8888‍‍【软件介绍】RStudio是一款专业的集成开发环境(IDE),用于R语言的开发和数据分析。它提供了丰富的功能和工具,包括代码编辑、调试、数据可视化和报告生成等。通过RStudio,用户可以高效地编写和运行R代码,进行数据处理、...
【软件下载】点击下载:https://pan.baidu.com/s/1c9hcqPMTqikA7SA3w6PuSQ?pwd=8888‍‍提取码:8888‍【软件介绍】AMOS是一款广泛应用于社会科学、教育研究、市场调研等领域的统计分析软件,它提供了强大的功能和直观的界面,帮助用户进行复杂的结构方程建模和模型验证,从而深入分析数据之间的关系和影响。【安装步骤】1.鼠标右击【Amos28】压缩...
【软件下载】点击下载:https://pan.baidu-download.com/Extraction/Mplus.html提取码:点击获取‍【软件介绍】Mplus是一款专业的统计分析软件,主要用于结构方程模型(SEM)和混合效应模型(HLM)的建模和分析。Mplus提供了丰富的功能和工具,包括路径分析、因子分析、多水平建模等。Mplus的用户界面友好易用,支持图形化操作,使得模型构建和分...
【软件下载】点击下载:https://pan.baidu-download.com/Extraction/Origin.html提取码:点击获取‍【软件介绍】Origin是一款功能强大的科学数据分析和可视化软件,广泛应用于各个领域的数据处理和研究工作。Origin提供了丰富的数据分析工具和图形绘制功能,帮助用户快速处理和分析数据,并将结果以直观的图表形式展示。【安装步骤】1.鼠标右击【Ori...
数据分析网 专业数据分析服务
专业学术和研究领域的综合性数据分析服务平台
——————————————————————————————————————————————————————
本站教程已获得国家版权登记证书,受版权保护。未经授权,任何个人或机构不得以任何形式复制、传播、修改或用于商业目的。违反者将承担法律责任。
如需使用本站教程内容,请联系我们获取授权。谢谢合作!
以下为部分版权登记号:鲁作登字-2023-L-00466766   鲁作登字-2023-L-00466759   鲁作登字-2023-L-00466761   鲁作登字-2023-L-00466763   鲁作登字-2023-L-00466757