数据分析网

4.2、Mplus线性增长模型拓展—零基础入门教程

微信扫码观看完整版Mplus视频课程、分析师在线答疑解惑哦~

微信扫码-通用.jpg

视频教程
课程摘要

Mplus线性增长模型是Mplus潜增长模型的一种拓展,用于研究变量随时间的线性变化趋势。它可以通过拟合一条直线来描述变量随时间的增长或减少情况,并估计该变化的速率和起始点。该模型可以用于研究个体或群体在某个特定变量上的发展轨迹,以及探索不同个体之间的差异。Mplus线性增长模型的原理是通过最大似然估计方法来估计模型参数,通过比较不同模型的拟合指标来选择最佳模型。它可以考虑时间的非线性效应、探索个体差异的影响因素,并提供了丰富的模型拟合指标和统计检验,以评估模型的拟合程度和解释力。

【详细教程】

Mplus线性增长模型拓展


一、非线性增长模型


上述模型描述的增长过程或方式是线性的,即相等单位的时间变化对应相等单位的结果变量的变化。但有时事物的发展并非完全按照线性的进程展开,可能出现减速或加速的非线性增长模式,此时用线性增长模型则不能确切地刻画事物的发展轨迹,应该考虑非线性增长模型。下面描述的是最常见的非线性增长曲线模型,其他类型的非线性增长模型,如logistic回归,Gompertz和Richards函数型增长模型等更多的信息及Mplus实现请参见Grimm & Ram(

(2009)。


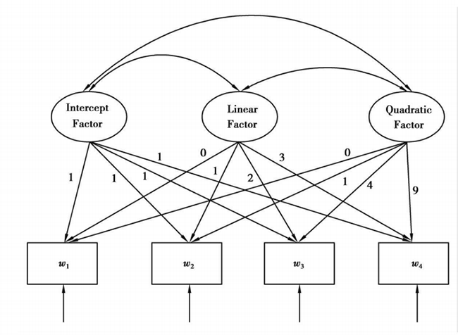
(1)二次函数型(Quadratic Function)


最常用的非线性增长模型如下图所示,在一般线性增长模型的基础上添加了二次函数潜因子,用以刻画非线性发展进程。如同线性增长一样,通过为二次函数潜因子设置具体二次函数的负荷来实现对曲线发展轨迹的刻画。具体来说,就是通过为斜率因子设定不同的时间参数来实现,即将线性增长因子的负荷设定成等距的时间参数,将二次函数增长因子的负荷设定成二次函数型时间参数(线性时间参数的平方)。


1.png


在上图中,线性增长因子的负荷设定为t₁=0,l₂=1,t₃=2 和 t₄=4; 二次函数增长因子的负荷设定为t₁=0,t₂=1,t₃=4       和 t₄=9 。 依次类推,可以按照相似的方式设置三次函数增长模型或更

高次的增长模型(Bollen   &   Curran,   2006)。


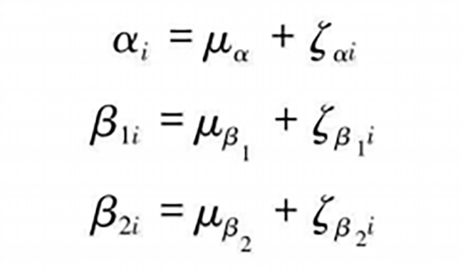
同线性增长模型一样,下面给出了二次函数增长模型的方程,据此类推,可以设置三次函数(Cubic   Function)或更高次函数的增长方程。


2.png


λ²为时间值的平方,β,为曲线增长的斜率,其他符号同线性增长模型。个体间和个体内部在初始值和成长轨迹或斜率上的差异通过如下方程来表达:


3.png


将上述公式合并:


4.png


第一个括号内为固定效应系数,所有个体相同,第二个括号内为随机效应系数,反映个体间的差异。


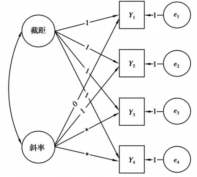
(2)时间参数自由估计模型


有时候根据测量时间为模型设定的时间参数并不能很好地刻画增长模式,Meredith和Tisak(1990)提出在估计增长因子时将第一和第二次的负荷分别设定为0和1,随后的 时间负荷允许模型从数据直接估计以确定增长类型。这种做法带着探索的味道,让数据本身决定增长模式。


下图是一个自由估计时间参数LGCM模型的路径图,该图与一般的LGCM路径图没有太大区别,仅有的差异在于第2次测量之后的时间参数未事先设定(*号表示),而允许自由估计。


5.png


二、包含协变量的LGCM


无条件的LGCM 只单纯地描述了某一现象随时间而变化的进程。很多时候,事物不是孤立存在的,总是与其他事物存在千丝万缕的联系,其他事物会对研究对象的发展过程产生影响,所以要精确地刻画研究对象的发展轨迹还需要考虑或控制其他潜在因素对研究变量发展轨迹的影响。


(1)协变量类型的确定


线性增长模型包含协变量的模型称作有条件的LGCM。 通常,LGCM包含的协变量可以分为两类:时间变化协变量(time-varying covariates)和时间不变协变量(time-invariant covariates)。常见的时间不变的协变量有性别、种族等,这些信息在整个重复测量过程中不会变化,测量一次即可获得;时间变化的协变量如年龄,本身随时间变化而变化,需要多次测量。


将协变量作为时间变化的协变量还是不变的协变量,应该从理论假说和实际操作两个方面来考虑。比如,某项研究准备考察外向性人格特质对大学新生入学适应过程的影响。研究者从新生入学的时候开始,每个月测量一次,连续测量6次。在这个例子中,将外向性特质作为时间变化的协变量处理,还是作为时间不变的协变量处理呢? 在理论上人格特质假定是相对稳定的,在相对较短的时间内是不变的(如数年)。在本例中,间隔的时间为1个月,而且整个研究周期也相对较短(半年左右),所以将其作为时间不变的协变量处理是合适的。但如果测量的时间间隔很长而且追踪的周期也很长,比如每间隔3年时间进行一次测量,连续追踪30年,则应该考虑将人格特质做时间变化的协变量处理,因为在时间太长的跨度内即使假设相对稳定的人格特质也是会发生变化的。


(2)时间不变协变量的LGCM


时间不变的协变量常常对发展进程产生影响。例如,前面所举的大学生入学适应的例子,不同生源地(城市 vs.农村)的学生的入学适应过程可能存在很大的差异。有时研究者想考察不同人口学变量对潜在增长过程的影响,或者研究者想控制某些时间不变的协变量对潜在增长过程的影响,这些情况都需要将协变量纳入模型考虑,下图是一个包含时间不变协变量的LGCM路径图。


6.png


(3)时间变化协变量的LGCM


下图是一个包含时间变化协变量的LGCM模型路径图。由于协变量随时间变化, 所以在研究变量测量时,协变量也同时测量,每个时间点的协变量只影响同时测量的研究变量,不同时间点的协变量之间,以及与潜因子之间都存在相关。


7.png



(4)同时包含时间变化和不变协变量的LGCM


在实际研究中,模型常常同时包含时间变化和时间不变两种协变量。如下图就是 一个同时包含时间变化和时间不变协变量的LGCM, 该图与上的区别在于多了两个时间不变的协变量。


8.png



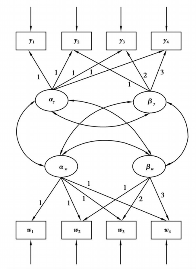
三、多变量增长曲线模型


上述带有时间变化协变量的LGCM将随时间变化的协变量纳入模型,控制了这些变 量对研究变量潜在增长轨迹的影响,这种做法仅将随时间变化的协变量作为观测显变量处理,并没有考虑协变量自身随时间变化的特点。因此有必要在考察研究变量增长轨迹的同时,使用同样的思路处理协变量的潜在增长轨迹,在潜变量水平上控制协变量对研究变量发展进程的影响。将协变量当作单独的LGCM过程,同时考察两个LGCM之间的关系,此时的增长曲线模型称作多变量增长曲线模型(Multivariate Latent Growth Curve Model),如下图所示。


9.png



四、高阶或多指标LGCM


前面讲述的模型只涉及单个指标重复测量多次,或将多个指标加总后作为单个重复   测量数据进行建模的情境。而实际的研究中,多数情况下使用多指标工具重复测量数次,此时获得的数据与单个指标测量数据有些许不同,情况类似于二阶验证性因素分析。 具体来说,在重复测量指标上建立一阶因子,然后在一阶因子上建立增长模型,如下图, 就是一个带有4个测量指标的高阶LGCM。 例如,用5个条目的自尊量表每间隔2个月测量同一群体5次,这时如果在指标层面上考察个体自尊发展轨迹,就需要用每次的5个指标定义单个时点的自尊因子,共5个自尊因子,然后将这5个因子作为“指标”建立高阶潜增长模型。


10.png


高阶潜增长模型的优点是使用多个指标测量潜变量,由于考虑了测量误差,结果更可靠。当然,高阶潜增长模型涉及测量模型,此时面临测量不变性的问题,即不同时间点测量工具本身是等值的,否则很难解释变化的原因,只有满足测量不变性的前提才能保 证增长因子刻画的是因子均值的变化。



热门软件

热门软件

免费下载

【软件下载】点击下载:https://pan.baidu.com/s/13YlL_OVzOA17cLwizM3_Ow?pwd=8888‍‍‍提取码:8888【软件介绍】STATA软件是一款功能强大的统计分析工具,被广泛应用于社会科学、经济学、生物医学等领域。它提供了丰富的统计方法和数据处理功能,可以进行数据清洗、数据可视化、回归分析、时间序列分析等操作。【安装步骤】1. 鼠标右击【Stata...
【软件下载】点击下载:https://pan.baidu.com/s/1umK9awFRS2a_6X7Q3cZMaA?pwd=8888‍‍‍提取码:8888‍【软件介绍】EViews是一款功能强大的经济统计分析软件,广泛应用于经济学、金融学等领域。它提供了丰富的数据处理、分析和建模工具,能够帮助用户进行数据的可视化、回归分析、时间序列分析等操作。【安装步骤】1.鼠标右击【EViews13(6...
【软件下载】点击下载:https://pan.baidu-download.com/extract/matlab.html‍‍‍提取码:点击获取‍【软件介绍】MATLAB是一种高级技术计算和编程环境,广泛用于科学、工程和数学领域的数据分析、模拟和可视化。它是由MathWorks公司开发的,提供了丰富的函数库和工具箱,用于处理矩阵运算、信号处理、图像处理、优化、统计分析等各种任务。【安装步骤】...
【软件下载】百度云下载:https://pan.baidu.com/s/1n_mzTAHhPFuWfQ6Bv1CuCg?pwd=8888‍‍‍‍‍‍提取码:8888‍【软件介绍】Python是一种高级编程语言,具有简单易学、可读性强的特点。它被广泛应用于数据分析、人工智能、Web开发等领域。Python拥有丰富的库和框架,如NumPy、Pandas、TensorFlow等,可以方便地进行数据...
【软件下载】立即下载:https://pan.baidu.com/s/1Suf_R2i0d1zPCiICd6PduA?pwd=8888‍‍‍‍‍‍‍提取码:8888‍‍【软件介绍】RStudio是一款专业的集成开发环境(IDE),用于R语言的开发和数据分析。它提供了丰富的功能和工具,包括代码编辑、调试、数据可视化和报告生成等。通过RStudio,用户可以高效地编写和运行R代码,进行数据处理、...
【软件下载】点击下载:https://pan.baidu.com/s/1c9hcqPMTqikA7SA3w6PuSQ?pwd=8888‍‍提取码:8888‍【软件介绍】AMOS是一款广泛应用于社会科学、教育研究、市场调研等领域的统计分析软件,它提供了强大的功能和直观的界面,帮助用户进行复杂的结构方程建模和模型验证,从而深入分析数据之间的关系和影响。【安装步骤】1.鼠标右击【Amos28】压缩...
【软件下载】点击下载:https://pan.baidu-download.com/Extraction/Mplus.html提取码:点击获取‍【软件介绍】Mplus是一款专业的统计分析软件,主要用于结构方程模型(SEM)和混合效应模型(HLM)的建模和分析。Mplus提供了丰富的功能和工具,包括路径分析、因子分析、多水平建模等。Mplus的用户界面友好易用,支持图形化操作,使得模型构建和分...
【软件下载】点击下载:https://pan.baidu-download.com/Extraction/Origin.html提取码:点击获取‍【软件介绍】Origin是一款功能强大的科学数据分析和可视化软件,广泛应用于各个领域的数据处理和研究工作。Origin提供了丰富的数据分析工具和图形绘制功能,帮助用户快速处理和分析数据,并将结果以直观的图表形式展示。【安装步骤】1.鼠标右击【Ori...
【软件下载】百度云下载:https://pan.baidu.com/s/1CVXkLwjhLDw_7H6FV9O47Q‍‍‍‍‍提取码:点击获取【软件介绍】Excel是一款功能强大的电子表格软件,广泛应用于数据分析、数据处理和数据可视化。Excel提供了丰富的功能和工具,包括数据排序、筛选、公式计算、图表绘制等。它的用户界面简洁直观,操作便捷,适用于各种行业和领域。【安装步骤】1.选中下载的...
热门课程

热门课程

排行榜

【软件下载】点击下载:https://pan.baidu.com/s/13YlL_OVzOA17cLwizM3_Ow?pwd=8888‍‍‍提取码:8888【软件介绍】STATA软件是一款功能强大的统计分析工具,被广泛应用于社会科学、经济学、生物医学等领域。它提供了丰富的统计方法和数据处理功能,可以进行数据清洗、数据可视化、回归分析、时间序列分析等操作。【安装步骤】1. 鼠标右击【Stata...
【软件下载】点击下载:https://pan.baidu.com/s/1umK9awFRS2a_6X7Q3cZMaA?pwd=8888‍‍‍提取码:8888‍【软件介绍】EViews是一款功能强大的经济统计分析软件,广泛应用于经济学、金融学等领域。它提供了丰富的数据处理、分析和建模工具,能够帮助用户进行数据的可视化、回归分析、时间序列分析等操作。【安装步骤】1.鼠标右击【EViews13(6...
【软件下载】点击下载:https://pan.baidu-download.com/extract/matlab.html‍‍‍提取码:点击获取‍【软件介绍】MATLAB是一种高级技术计算和编程环境,广泛用于科学、工程和数学领域的数据分析、模拟和可视化。它是由MathWorks公司开发的,提供了丰富的函数库和工具箱,用于处理矩阵运算、信号处理、图像处理、优化、统计分析等各种任务。【安装步骤】...
【软件下载】百度云下载:https://pan.baidu.com/s/1n_mzTAHhPFuWfQ6Bv1CuCg?pwd=8888‍‍‍‍‍‍提取码:8888‍【软件介绍】Python是一种高级编程语言,具有简单易学、可读性强的特点。它被广泛应用于数据分析、人工智能、Web开发等领域。Python拥有丰富的库和框架,如NumPy、Pandas、TensorFlow等,可以方便地进行数据...
【软件下载】立即下载:https://pan.baidu.com/s/1Suf_R2i0d1zPCiICd6PduA?pwd=8888‍‍‍‍‍‍‍提取码:8888‍‍【软件介绍】RStudio是一款专业的集成开发环境(IDE),用于R语言的开发和数据分析。它提供了丰富的功能和工具,包括代码编辑、调试、数据可视化和报告生成等。通过RStudio,用户可以高效地编写和运行R代码,进行数据处理、...
【软件下载】点击下载:https://pan.baidu.com/s/1c9hcqPMTqikA7SA3w6PuSQ?pwd=8888‍‍提取码:8888‍【软件介绍】AMOS是一款广泛应用于社会科学、教育研究、市场调研等领域的统计分析软件,它提供了强大的功能和直观的界面,帮助用户进行复杂的结构方程建模和模型验证,从而深入分析数据之间的关系和影响。【安装步骤】1.鼠标右击【Amos28】压缩...
【软件下载】点击下载:https://pan.baidu-download.com/Extraction/Mplus.html提取码:点击获取‍【软件介绍】Mplus是一款专业的统计分析软件,主要用于结构方程模型(SEM)和混合效应模型(HLM)的建模和分析。Mplus提供了丰富的功能和工具,包括路径分析、因子分析、多水平建模等。Mplus的用户界面友好易用,支持图形化操作,使得模型构建和分...
【软件下载】点击下载:https://pan.baidu-download.com/Extraction/Origin.html提取码:点击获取‍【软件介绍】Origin是一款功能强大的科学数据分析和可视化软件,广泛应用于各个领域的数据处理和研究工作。Origin提供了丰富的数据分析工具和图形绘制功能,帮助用户快速处理和分析数据,并将结果以直观的图表形式展示。【安装步骤】1.鼠标右击【Ori...
数据分析网 专业数据分析服务
专业学术和研究领域的综合性数据分析服务平台
——————————————————————————————————————————————————————
本站教程已获得国家版权登记证书,受版权保护。未经授权,任何个人或机构不得以任何形式复制、传播、修改或用于商业目的。违反者将承担法律责任。
如需使用本站教程内容,请联系我们获取授权。谢谢合作!
以下为部分版权登记号:鲁作登字-2023-L-00466766   鲁作登字-2023-L-00466759   鲁作登字-2023-L-00466761   鲁作登字-2023-L-00466763   鲁作登字-2023-L-00466757