数据分析网

3.2、MplusFMM的变式—零基础入门教程

微信扫码观看完整版Mplus视频课程、分析师在线答疑解惑哦~

微信扫码-通用.jpg

视频教程
课程摘要

MplusFMM是一种变式的多群因子混合模型,它是一种统计分析方法,用于研究多个群体之间的因素结构差异。该方法结合了多群因子分析和混合模型的优势,能够同时考虑群体间的共同因素结构和个体特异因素。MplusFMM可以用于探索不同群体之间的因素结构差异,并且可以估计每个群体的因素载荷和因素间关系。这种方法在社会科学、教育研究和心理学等领域具有广泛的应用。通过使用MplusFMM,研究人员可以更好地理解不同群体之间的因素结构差异,从而为制定个性化的干预措施和政策提供科学依据。

【详细教程】

MplusFMM的变式


一、概述


因子模型和潜在类别模型可以作为因子混合模型的特例(3种模型的比较见下表)。 当潜类别变量只有一个类别时就不存在群体异质性,因子混合模型简化为因子模型即上式的t=1; 当各潜类别内的方差为零时,因子混合模型简化为潜类别模型或潜在剖面模型。


1.png



可观测的分组变量通常被看作调节变量,换句话说,就是检验某因子模型在分组变量不同水平上是否成立,如果成立说明分组变量的调节效应不显著。与之类似,类别潜变量也可视作调节变量,即检验某因子模型在不可观测的类别组中是否等值,如果模型成立说明模型具有跨潜类别的不变性,即调节效应不显著。同多组模型,存在不同水平的跨类别不变性,根据不变性的设置可以衍生出多个FMM变式。


Muthen(2008)根据是否设置测量不变性以及连续潜变量的分布情况(参数vs.非参数分布)将混合模型分成4类:混合因子分析(Mixture Factor Analysis,MFA)、非参数混合因子分析、因子混合模型和非参数混合模型。 Masyn,Henderson & Greenbaum(2010)在一般FMM基础上,根据模型中连续潜变量和类别潜变量的特点描述了8种模型,这些模型均可看作FMM的特例或变式。下面介绍几种常见模型的具体参数设置情况和各自的特点。


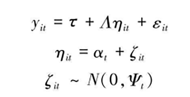
二、混合因子模型(Mixture     Factor     Model,MFM)


在混合因子模型中,通常限定测量不变性但允许类别内方差和协方差自由估计,公式如下:


2.png


该式与FMM的一般形式相比,t和A参数没有下标t, 说明这些参数跨类别不变,意味着观察指标所测量的连续潜变量在各类别间有着相同的意义。 进一步来说,不同潜类别个体间的差异可以通过其在η上的差异来比较。


在下图的左图中,指向因子F的箭头代表因子存在方差变异,对应右图中的分布和式中的su。右图中的正态分布说明总体由多个正态分布的亚组混合而成,因此各潜类别内部个体间存在变异(量的差异)。潜类别的个数决定分布的个数,位置代表因子分数(α,)的差异。


3.png


混合因子模型与传统的因子模型相比,释放了多元正态分布的限定,整体分布是由多个正态分布混合而成的非特定的连续型分布。混合因子模型可以理解为将非正态的整体分布分解为多个亚组,这些亚组符合或接近正态分布,并且因子模型在每个亚组内满足严格测量不变性,因此不同潜类别个体的差异可以通过其在η上的差异来比较。如果将传统的因子模型称作参数模型,那么混合因子模型也称作半参数因子分析(Semi-   parametric Factor Analysis, SP-FA; Masyn, Henderson & Greenbaum, 2010)。



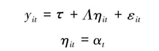
三、潜类别因子分析( latent   Class   Factor   Analytic,LCFA)


当测量模型满足严格不变性时,即限定项目阈限(thresholds)和因子负荷跨类别等值,而只允许因子均值跨类别变化(同MFM的区别在于不允许类别内方差和协方差自由估计),称作潜类别因子分析模型,其表达式如下:


4.png


该式与MFM相比,缺失的ζ和亚说明因子方差和协方差固定为0,即类别内不存在变异,模型示意图如下:


5.png



左图中,C指向F的路径表示因子均值跨类别变化,图中缺少从C指向条目的路径, 说明条目截距或阈限跨类别等值,或者说个体的类别属性仅由个体在因子上的得分差异决定;缺少从C指向因子负荷路径的虚线说明因子负荷跨类别不变。指向因子F的箭头消失说明因子不存在方差变异。右图中的矩形表示各潜类别因子分,说明类别内不存在变异即同类别内个体有相同的因子分(但不意味着有相同的观测分),换句话说,连续潜变量不存在参数分布,因此该模型也称作非参数 MFM(non-parametric MFM;Muthén,   2008)和非参数因子分析模型(Non-parametric Factor Analysis, NP-FA; Masyn,Henderson   &Greenbaum,2010)。   矩形的个数取决于潜类别的个数,矩形的高度代表类别内个体的数量或比例,矩形所在位置表示因子得分。


前两个模型满足严格测量不变性,条目所测量的连续潜变量η在不同类别具有相同的意义,所以不管个体属于哪个潜类别均可在潜变量η上进行差异比较(Masyn, Henderson & Greenbaum

,2010)。


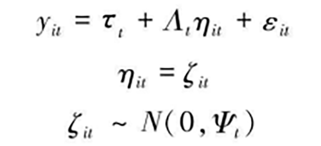
四、半参数因子混合模型(Semi-parametric Factor Mixture Model,SP-FMM)


半参数因子混合模型(SP-FMM) 是 FMM 和半参数因子模型(SP-FM) 结合后的模型, 具有两者各自的特点。通俗地说,SP-FMM就是使用一个潜类别变量将总体分成几个异质的亚组或类别(对应下图的右图中左右两簇分布),然后再在每个类别内单独做一个SP-FM(对应下图左图中各簇分布内相互重叠的分布图)。可见该模型存在两个潜在类别变量,第一个潜类别变量C°用于描述总体异质性,第二个潜类别C"用于解释类别内的非正态性。在SP-FMM中,类别间测量模型不再限定严格不变性(在下图的右图中用间断的水平线表示),所以不同类别的因子模型测量不同的潜变量η.,也意味着不同类别个体不能在同一个η上进行差异比较。然而SP-FMM具有SP-FM的特征,即每个类别内部满足SP-FM。由于SP-FM要求满足严格测量不变性,所以类别内部的亚组间可以在各自的n,上进行差异比较。


6.png


五、非参数因子混合模型( Non-parametric Factor Mixture Model,NP-FMM)


非参数因子混合模型是FMM和非参数因子模型(NP-FM) 结合后的模型,同时具有两者的特点。 NP-FMM 与 SP-FMM非常类似,差异仅在于各异质群体内部的各亚组的因子是否存在方差变异,如果存在方差变异则用分布表示,否则用矩形,其他特点同SP-FMM。


7.png


六、其他变式


如果设定因子负荷和因子协方差跨类别不变,项目阈限(或截距)跨类别变化,公式如下(FMM- 1):


11.png


此时的模型因子均值为0,所以在示意图上(下图)由C指向F的箭头消失了,同时多了由C指向指标的箭头,说明项目阈限跨类别变化即类别属性基于项目反应获得。


9.png


在上式的基础上允许协方差矩阵跨类别变化, 表明在类别内部个体存在量的差异,表达式如下(FMM-2):


12.png



热门软件

热门软件

免费下载

【软件下载】点击下载:https://pan.baidu.com/s/13YlL_OVzOA17cLwizM3_Ow?pwd=8888‍‍‍提取码:8888【软件介绍】STATA软件是一款功能强大的统计分析工具,被广泛应用于社会科学、经济学、生物医学等领域。它提供了丰富的统计方法和数据处理功能,可以进行数据清洗、数据可视化、回归分析、时间序列分析等操作。【安装步骤】1. 鼠标右击【Stata...
【软件下载】点击下载:https://pan.baidu.com/s/1umK9awFRS2a_6X7Q3cZMaA?pwd=8888‍‍‍提取码:8888‍【软件介绍】EViews是一款功能强大的经济统计分析软件,广泛应用于经济学、金融学等领域。它提供了丰富的数据处理、分析和建模工具,能够帮助用户进行数据的可视化、回归分析、时间序列分析等操作。【安装步骤】1.鼠标右击【EViews13(6...
【软件下载】点击下载:https://pan.baidu-download.com/extract/matlab.html‍‍‍提取码:点击获取‍【软件介绍】MATLAB是一种高级技术计算和编程环境,广泛用于科学、工程和数学领域的数据分析、模拟和可视化。它是由MathWorks公司开发的,提供了丰富的函数库和工具箱,用于处理矩阵运算、信号处理、图像处理、优化、统计分析等各种任务。【安装步骤】...
【软件下载】百度云下载:https://pan.baidu.com/s/1n_mzTAHhPFuWfQ6Bv1CuCg?pwd=8888‍‍‍‍‍‍提取码:8888‍【软件介绍】Python是一种高级编程语言,具有简单易学、可读性强的特点。它被广泛应用于数据分析、人工智能、Web开发等领域。Python拥有丰富的库和框架,如NumPy、Pandas、TensorFlow等,可以方便地进行数据...
【软件下载】立即下载:https://pan.baidu.com/s/1Suf_R2i0d1zPCiICd6PduA?pwd=8888‍‍‍‍‍‍‍提取码:8888‍‍【软件介绍】RStudio是一款专业的集成开发环境(IDE),用于R语言的开发和数据分析。它提供了丰富的功能和工具,包括代码编辑、调试、数据可视化和报告生成等。通过RStudio,用户可以高效地编写和运行R代码,进行数据处理、...
【软件下载】点击下载:https://pan.baidu.com/s/1c9hcqPMTqikA7SA3w6PuSQ?pwd=8888‍‍提取码:8888‍【软件介绍】AMOS是一款广泛应用于社会科学、教育研究、市场调研等领域的统计分析软件,它提供了强大的功能和直观的界面,帮助用户进行复杂的结构方程建模和模型验证,从而深入分析数据之间的关系和影响。【安装步骤】1.鼠标右击【Amos28】压缩...
【软件下载】点击下载:https://pan.baidu-download.com/Extraction/Mplus.html提取码:点击获取‍【软件介绍】Mplus是一款专业的统计分析软件,主要用于结构方程模型(SEM)和混合效应模型(HLM)的建模和分析。Mplus提供了丰富的功能和工具,包括路径分析、因子分析、多水平建模等。Mplus的用户界面友好易用,支持图形化操作,使得模型构建和分...
【软件下载】点击下载:https://pan.baidu-download.com/Extraction/Origin.html提取码:点击获取‍【软件介绍】Origin是一款功能强大的科学数据分析和可视化软件,广泛应用于各个领域的数据处理和研究工作。Origin提供了丰富的数据分析工具和图形绘制功能,帮助用户快速处理和分析数据,并将结果以直观的图表形式展示。【安装步骤】1.鼠标右击【Ori...
【软件下载】百度云下载:https://pan.baidu.com/s/1CVXkLwjhLDw_7H6FV9O47Q‍‍‍‍‍提取码:点击获取【软件介绍】Excel是一款功能强大的电子表格软件,广泛应用于数据分析、数据处理和数据可视化。Excel提供了丰富的功能和工具,包括数据排序、筛选、公式计算、图表绘制等。它的用户界面简洁直观,操作便捷,适用于各种行业和领域。【安装步骤】1.选中下载的...
热门课程

热门课程

排行榜

【软件下载】点击下载:https://pan.baidu.com/s/13YlL_OVzOA17cLwizM3_Ow?pwd=8888‍‍‍提取码:8888【软件介绍】STATA软件是一款功能强大的统计分析工具,被广泛应用于社会科学、经济学、生物医学等领域。它提供了丰富的统计方法和数据处理功能,可以进行数据清洗、数据可视化、回归分析、时间序列分析等操作。【安装步骤】1. 鼠标右击【Stata...
【软件下载】点击下载:https://pan.baidu.com/s/1umK9awFRS2a_6X7Q3cZMaA?pwd=8888‍‍‍提取码:8888‍【软件介绍】EViews是一款功能强大的经济统计分析软件,广泛应用于经济学、金融学等领域。它提供了丰富的数据处理、分析和建模工具,能够帮助用户进行数据的可视化、回归分析、时间序列分析等操作。【安装步骤】1.鼠标右击【EViews13(6...
【软件下载】点击下载:https://pan.baidu-download.com/extract/matlab.html‍‍‍提取码:点击获取‍【软件介绍】MATLAB是一种高级技术计算和编程环境,广泛用于科学、工程和数学领域的数据分析、模拟和可视化。它是由MathWorks公司开发的,提供了丰富的函数库和工具箱,用于处理矩阵运算、信号处理、图像处理、优化、统计分析等各种任务。【安装步骤】...
【软件下载】百度云下载:https://pan.baidu.com/s/1n_mzTAHhPFuWfQ6Bv1CuCg?pwd=8888‍‍‍‍‍‍提取码:8888‍【软件介绍】Python是一种高级编程语言,具有简单易学、可读性强的特点。它被广泛应用于数据分析、人工智能、Web开发等领域。Python拥有丰富的库和框架,如NumPy、Pandas、TensorFlow等,可以方便地进行数据...
【软件下载】立即下载:https://pan.baidu.com/s/1Suf_R2i0d1zPCiICd6PduA?pwd=8888‍‍‍‍‍‍‍提取码:8888‍‍【软件介绍】RStudio是一款专业的集成开发环境(IDE),用于R语言的开发和数据分析。它提供了丰富的功能和工具,包括代码编辑、调试、数据可视化和报告生成等。通过RStudio,用户可以高效地编写和运行R代码,进行数据处理、...
【软件下载】点击下载:https://pan.baidu.com/s/1c9hcqPMTqikA7SA3w6PuSQ?pwd=8888‍‍提取码:8888‍【软件介绍】AMOS是一款广泛应用于社会科学、教育研究、市场调研等领域的统计分析软件,它提供了强大的功能和直观的界面,帮助用户进行复杂的结构方程建模和模型验证,从而深入分析数据之间的关系和影响。【安装步骤】1.鼠标右击【Amos28】压缩...
【软件下载】点击下载:https://pan.baidu-download.com/Extraction/Mplus.html提取码:点击获取‍【软件介绍】Mplus是一款专业的统计分析软件,主要用于结构方程模型(SEM)和混合效应模型(HLM)的建模和分析。Mplus提供了丰富的功能和工具,包括路径分析、因子分析、多水平建模等。Mplus的用户界面友好易用,支持图形化操作,使得模型构建和分...
【软件下载】点击下载:https://pan.baidu-download.com/Extraction/Origin.html提取码:点击获取‍【软件介绍】Origin是一款功能强大的科学数据分析和可视化软件,广泛应用于各个领域的数据处理和研究工作。Origin提供了丰富的数据分析工具和图形绘制功能,帮助用户快速处理和分析数据,并将结果以直观的图表形式展示。【安装步骤】1.鼠标右击【Ori...
数据分析网 专业数据分析服务
专业学术和研究领域的综合性数据分析服务平台
——————————————————————————————————————————————————————
本站教程已获得国家版权登记证书,受版权保护。未经授权,任何个人或机构不得以任何形式复制、传播、修改或用于商业目的。违反者将承担法律责任。
如需使用本站教程内容,请联系我们获取授权。谢谢合作!
以下为部分版权登记号:鲁作登字-2023-L-00466766   鲁作登字-2023-L-00466759   鲁作登字-2023-L-00466761   鲁作登字-2023-L-00466763   鲁作登字-2023-L-00466757