数据分析网

2.1、Mplus包含预测变量的RMM—零基础入门教程

微信扫码观看完整版Mplus视频课程、分析师在线答疑解惑哦~

微信扫码-通用.jpg

视频教程
课程摘要

Mplus中的预测变量的随机效应混合模型(RMM)是一种统计方法,用于在潜在类别分析中引入预测变量。它可以帮助研究者探索潜在类别模型中预测变量对类别分布和类别特征的影响。例如,假设研究者想要了解消费者的购买行为潜在类别模型中年龄对类别分布和类别特征的影响,他们可以使用Mplus中的RMM来引入年龄作为预测变量,并分析其与类别分布和类别特征之间的关系。通过分析观察数据和预测变量,Mplus可以计算出预测变量对类别分布和类别特征的影响程度,并提供相应的统计结果。研究者可以进一步了解预测变量在潜在类别模型中的作用,从而更好地理解和解释消费者的购买行为。总之,Mplus中的RMM为研究者提供了一种有效的方法来引入和分析预测变量在潜在类别模型中的影响。

【详细教程】

Mplus包含预测变量的RMM


总的来说,带有预测变量的回归混合模型的建模策略可以大致分成两大类:单步法和分步法(三步法)。顾名思义,单步法在建模时一步完成所有模型(测量和结构)参数估计;而分步法则采用逐步建模的步骤完成参数估计。由于单步法将看似不同的分析过程一步完成了,不像分步法过程清晰且易于理解。


(1)单步法


单步法在处理带有协变量的混合模型时,同时完成潜类别分组(测量模型部分)和协变量关系建模(结构模型部分)。如果协变量是预测变量,将其直接纳入模型进行分析, 协变量与潜类别变量的关系在LCA分析中同步完成。


考虑协变量时的LCA表达式:


1.png


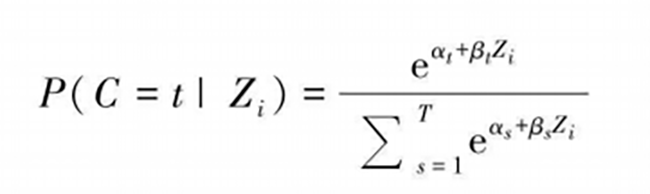
P(C=tIZ;) 为考虑协变量Z时属于潜类别t的概率,该值可通过多项式logistic回归获得(Bakk   &   Vermunt,2016):


2.png


上式中的α,和β,分别表示类别特定的截距和斜率。


如果协变量是结局变量,只需将结局变量当作LCA 的测量指标纳入模型。然而单步法存在如下几点不足 (Vermunt,2010):


第一,当存在较多协变量时,单步法的实际操作性较差。


在探索性研究中,由于缺少相关研究或理论预期,模型中常常包含多个预测变量。在单步法中,不同协变量的纳入和剔除都会影响测量模型(LCA)的结果,使得整个分析过程非常繁琐。


第二,模型建模困难。


混合模型建模过程中最重要也是最复杂的问题是潜类别个数的确定,包含协变量使得这一过程更加复杂。


第三,单步法在实践中不易被应用研究者理解和掌握。


回归混合模型的逻辑顺序是先根据LCA 将样本分组;接着以分组(潜)类别变量作为观测自变量或因变量进行回归分析,而在单步法中这些过程是一步完成的,理解和解释上较为抽象。


第四,包含协变量的LCA 模型可能会违反混合模型的前提假设,例如协变量在类别内的方差相等或/和正态分布等(Bauer & Curran,2003;Petras & Masyn, 2010)。


由于单步法的上述困难和不足,分析过程清晰的三步法受到方法学者和应用研究者的广泛关注(e.g.,Morin   et   al,   2010;Chan   &   Goldthorpe,2007)。


(2)简单三步法


按照大多数应用研究者的分析习惯,在进行混合模型分析时,通常根据多个测量指标采用LCA将样本分成不同的潜类别组。然后将类别潜变量作为观测类别变量进行后续分析。常见的后续分析有:比较变量在潜类别组上的差异。


(独立样本t检验或方差分析);其他变量预测类别潜变量或类别潜变量预测其他变量。


三步法的分析过程如下图所示,分析由三步组成(三步法多数采用此流程)


①进行常规的LCA 模型估计,这一步只使用LCA 的测量指标;


②接着在第一步的基础上根据后验概率获得个体的类别归属变量即潜类别分组变量;


③最后将潜类别分组变量作为观测变量(分类变量)连同协变量进行回归分析。


3.png


简单三步法也称作最可能类别回归法( Most Likely Class Regression; Clark & Muthén, 2009)。


这种方法符合应用研究者的分析习惯,在实践中广为使用。


例如,在Chan和Goldthorpe(2007)研究社会分层与文化消费的文章中就采用了这种方法。他们首先根据 6000多人在8个音乐消费指标上的反应数据,采用LCA将其分成4个潜类别,然后将这4个潜类别作为因变量进行多项式 logit 回归(Multinomial Logit Model)。


然而三步法也存在一些不足,通常是低估类别潜变量和协变量的关系,分类误差越大,系数低估越明显(Bolck et al,2004;Vermunt,2010)。 回归混合模型分析的关键在于分类精确性(当然也是所有分类方法的关键)。分类精确性对于个体中心的方法来说可 以理解为测量信度或测量误差问题。如果分类误差较大,把不属于某一类别的个体划分到该类别将会影响整个分析结果的准确性。针对简单三步法存在测量误差的问题,近年来研究者提出了一些校正方法(Bakk,Tekle & Vermunt,2013;Lanza,Tan & Bray,2013; Vermunt,2010), 下面将逐一详细介绍。


(3)概率回归法和加权概率回归法


这两种方法的分析过程与简单三步法类似,也是分成三步。

具体来说,第一步依据观测指标将个体分类,即执行LCA 分析。


第二步将个体的后验概率进行转换后再做回归分析:


①概率回归法将后验概率进行对数转换,转换后的数值作为结果进行回归分析;


②加权概率回归法则根据后验分类结果直接与协变量进行回归但采用后验概率进行加权。


两种方法都考虑了分类的不确定性,与简单三步法相比回归系数的结果较为准确, 但由于后验概率的估计本身也是存在误差的,所以回归系数的显著性检验存在结论错误的可能(Clark

&   Muthén,2009)。 框1和框2分别给出了两种方法的 Mplus 例句(Clark   &   Muthén,2009)。


4.png

                                                               框1

5.png

6.png

                                                              框2

(4)虚拟类别法


LCA根据一次分析的后验概率将个体分组,这种做法存在抽样误差的问题。虚拟类别法(Pseudoclass   Method,PC法)采用类似缺失值分析时使用的多重插补法,从个体的后验概率分布中随机抽取若干个(通常20次)可能的后验概率值,根据每次的概率值将个体分配到不同的类别,然后平均若干次的结果作为最终的分类结果(Wang,Brown&    Bandeen-Roche,2005)。

Clark   &   Muthen(2009)的模拟发现,当分类精确性较高时(entropy>0.8),该方法表现较好;然而在最近的模拟研究中发现,与稳健三步法和单步法相比,虚拟类别法在同等条件下表现最差(Asparouhov   &   Muthen,2014),在实际应用中并不被推荐使用。下框给出了虚拟类别法的 Mplus 例句。


7.png

8.png



(5)稳健三步法或MML法


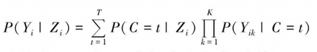
稳健三步法由 Vermunt(2010)在Bolck,   Croon & Hagenaars(2004)研究的基础上提出。 由于同时采用莫代尔法分配法和极大似然估计,因此又称为莫代尔极大似然估计法(Modal   ML)。Asparouhov 和 Muthen(2014)将其称作三步法(3-steps   approach),为了区分简单三步法,我们在这里将其称作稳健三步法。分析步骤同简单三步法,区别在于第二步考虑了分类误差,而简单三步法并未处理分类误差。稳健三步法的具体分析步骤如下图所示。


9.png


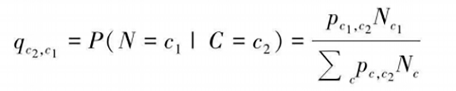
稳健三步法最大的特点是在第二步考虑了分类误差或不确定性。假设W 是基于模型估计的类别潜变量,与实际的类别潜变量C并不完全一致(完全一致时不存在分类误差),因此存在如下2个分类不确定率:


10.png


上式中,C为类别潜变量,N为根据后验分布概率将个体划分到不同潜类别组的变量(Mplus分析无条件LCA模型时保存后验概率后结果文件的最后一列),U为观测指标。 Nc是根据N将个体划分到C₁ 类别的数量。


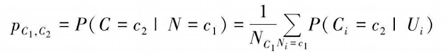
在Mplus的新近版本中(7.2之后的版本),Pc,c₂的值可以在结果输出部分获得。随后可以计算"分类错误率":P(N=c₁ IC=c₂)   即实际属于C₂类别但在LCA中根据后验概率却被归入C₁的概率:


11.png


N.是根据N将个体分配到C的数量。稳健三步法使用log(99)作为N估计C的权重,该值可在Mplus结果报告中直接获得。


在 Mplus 中,稳健三步法有两种实现形式:自动和手动。


自动形式只需采用AUXILIARY的R3STEP选项,软件自动完成上述3步分析。


手动形式需要分别执行两步分析。


第一步,单独执行LCA分析,获得分类错误率的对数形式


第二步,在这一步分析中,将第一步保留的分组变量N的均值固定为分类错误率的对数值。


框1和框2分别给出了稳健三步法自动和手动两种实现形式的例句。


12.png

                                                              框1

13.png

                                                            框2

(6)修正的BCH法


BCH法最早由Bolck,Croon & Hagenaars(2004)提出,用于处理包含分类预测变量的LCA。 该方法与稳健三步法逻辑类似,区别在于稳健三步法的第三步的估计方程采用极大似然估计,而BCH 将其转换成加权方差分析,分类误差作为权重。


与稳健三步法相比,BCH法的一个突出优点是不会改变潜类别的顺序。潜类别顺序的改变是极大似然估计的一个“副产品”。,由于ML估计常常得到局部最大化解而非整体最大化解,所以混合模型估计通常设置多个起始值,而起始值通常由软件随机生成,所以每次分析的起始值不同得到的潜类别结果可能不同,潜类别的顺序也可能不同。尽管使用相同的数据和指标,所得到的拟合结果和类别数目也相同,但类别潜变量水平的顺序可能不同(第一个类别变成第二个类别),因此给潜类别分析带来很大的麻烦。


在稳健三步法分析中,Mplus自动监测顺序改变问题, 一旦发生顺序改变,Mplus将不报告结果(Asparouhov & Muthen,2015;webnote#21)。BCH法的不足在于,当类别距离很小及样本量小时,类别内的误差方差可能是负值。此时如果把类别内方差固定相等,也可以获得正确的类别组内结局变量的均值(Bakk   &Vermunt,2014)。


14.png


(7)小结


就目前的模拟研究结果来看,稳健三步法和单步法是处理含有预测变量RMM最好的方法。根据通常的潜类别建模流程,首先确定群体分类,然后再在此基础上做进一步分析。稳健三步法的分析过程清晰明确,因符合广大应用研究者的分析习惯而容易被接受。



热门软件

热门软件

免费下载

【软件下载】点击下载:https://pan.baidu.com/s/13YlL_OVzOA17cLwizM3_Ow?pwd=8888‍‍‍提取码:8888【软件介绍】STATA软件是一款功能强大的统计分析工具,被广泛应用于社会科学、经济学、生物医学等领域。它提供了丰富的统计方法和数据处理功能,可以进行数据清洗、数据可视化、回归分析、时间序列分析等操作。【安装步骤】1. 鼠标右击【Stata...
【软件下载】点击下载:https://pan.baidu.com/s/1umK9awFRS2a_6X7Q3cZMaA?pwd=8888‍‍‍提取码:8888‍【软件介绍】EViews是一款功能强大的经济统计分析软件,广泛应用于经济学、金融学等领域。它提供了丰富的数据处理、分析和建模工具,能够帮助用户进行数据的可视化、回归分析、时间序列分析等操作。【安装步骤】1.鼠标右击【EViews13(6...
【软件下载】点击下载:https://pan.baidu-download.com/extract/matlab.html‍‍‍提取码:点击获取‍【软件介绍】MATLAB是一种高级技术计算和编程环境,广泛用于科学、工程和数学领域的数据分析、模拟和可视化。它是由MathWorks公司开发的,提供了丰富的函数库和工具箱,用于处理矩阵运算、信号处理、图像处理、优化、统计分析等各种任务。【安装步骤】...
【软件下载】百度云下载:https://pan.baidu.com/s/1n_mzTAHhPFuWfQ6Bv1CuCg?pwd=8888‍‍‍‍‍‍提取码:8888‍【软件介绍】Python是一种高级编程语言,具有简单易学、可读性强的特点。它被广泛应用于数据分析、人工智能、Web开发等领域。Python拥有丰富的库和框架,如NumPy、Pandas、TensorFlow等,可以方便地进行数据...
【软件下载】立即下载:https://pan.baidu.com/s/1Suf_R2i0d1zPCiICd6PduA?pwd=8888‍‍‍‍‍‍‍提取码:8888‍‍【软件介绍】RStudio是一款专业的集成开发环境(IDE),用于R语言的开发和数据分析。它提供了丰富的功能和工具,包括代码编辑、调试、数据可视化和报告生成等。通过RStudio,用户可以高效地编写和运行R代码,进行数据处理、...
【软件下载】点击下载:https://pan.baidu.com/s/1c9hcqPMTqikA7SA3w6PuSQ?pwd=8888‍‍提取码:8888‍【软件介绍】AMOS是一款广泛应用于社会科学、教育研究、市场调研等领域的统计分析软件,它提供了强大的功能和直观的界面,帮助用户进行复杂的结构方程建模和模型验证,从而深入分析数据之间的关系和影响。【安装步骤】1.鼠标右击【Amos28】压缩...
【软件下载】点击下载:https://pan.baidu-download.com/Extraction/Mplus.html提取码:点击获取‍【软件介绍】Mplus是一款专业的统计分析软件,主要用于结构方程模型(SEM)和混合效应模型(HLM)的建模和分析。Mplus提供了丰富的功能和工具,包括路径分析、因子分析、多水平建模等。Mplus的用户界面友好易用,支持图形化操作,使得模型构建和分...
【软件下载】点击下载:https://pan.baidu-download.com/Extraction/Origin.html提取码:点击获取‍【软件介绍】Origin是一款功能强大的科学数据分析和可视化软件,广泛应用于各个领域的数据处理和研究工作。Origin提供了丰富的数据分析工具和图形绘制功能,帮助用户快速处理和分析数据,并将结果以直观的图表形式展示。【安装步骤】1.鼠标右击【Ori...
【软件下载】百度云下载:https://pan.baidu.com/s/1CVXkLwjhLDw_7H6FV9O47Q‍‍‍‍‍提取码:点击获取【软件介绍】Excel是一款功能强大的电子表格软件,广泛应用于数据分析、数据处理和数据可视化。Excel提供了丰富的功能和工具,包括数据排序、筛选、公式计算、图表绘制等。它的用户界面简洁直观,操作便捷,适用于各种行业和领域。【安装步骤】1.选中下载的...
热门课程

热门课程

排行榜

【软件下载】点击下载:https://pan.baidu.com/s/13YlL_OVzOA17cLwizM3_Ow?pwd=8888‍‍‍提取码:8888【软件介绍】STATA软件是一款功能强大的统计分析工具,被广泛应用于社会科学、经济学、生物医学等领域。它提供了丰富的统计方法和数据处理功能,可以进行数据清洗、数据可视化、回归分析、时间序列分析等操作。【安装步骤】1. 鼠标右击【Stata...
【软件下载】点击下载:https://pan.baidu.com/s/1umK9awFRS2a_6X7Q3cZMaA?pwd=8888‍‍‍提取码:8888‍【软件介绍】EViews是一款功能强大的经济统计分析软件,广泛应用于经济学、金融学等领域。它提供了丰富的数据处理、分析和建模工具,能够帮助用户进行数据的可视化、回归分析、时间序列分析等操作。【安装步骤】1.鼠标右击【EViews13(6...
【软件下载】点击下载:https://pan.baidu-download.com/extract/matlab.html‍‍‍提取码:点击获取‍【软件介绍】MATLAB是一种高级技术计算和编程环境,广泛用于科学、工程和数学领域的数据分析、模拟和可视化。它是由MathWorks公司开发的,提供了丰富的函数库和工具箱,用于处理矩阵运算、信号处理、图像处理、优化、统计分析等各种任务。【安装步骤】...
【软件下载】百度云下载:https://pan.baidu.com/s/1n_mzTAHhPFuWfQ6Bv1CuCg?pwd=8888‍‍‍‍‍‍提取码:8888‍【软件介绍】Python是一种高级编程语言,具有简单易学、可读性强的特点。它被广泛应用于数据分析、人工智能、Web开发等领域。Python拥有丰富的库和框架,如NumPy、Pandas、TensorFlow等,可以方便地进行数据...
【软件下载】立即下载:https://pan.baidu.com/s/1Suf_R2i0d1zPCiICd6PduA?pwd=8888‍‍‍‍‍‍‍提取码:8888‍‍【软件介绍】RStudio是一款专业的集成开发环境(IDE),用于R语言的开发和数据分析。它提供了丰富的功能和工具,包括代码编辑、调试、数据可视化和报告生成等。通过RStudio,用户可以高效地编写和运行R代码,进行数据处理、...
【软件下载】点击下载:https://pan.baidu.com/s/1c9hcqPMTqikA7SA3w6PuSQ?pwd=8888‍‍提取码:8888‍【软件介绍】AMOS是一款广泛应用于社会科学、教育研究、市场调研等领域的统计分析软件,它提供了强大的功能和直观的界面,帮助用户进行复杂的结构方程建模和模型验证,从而深入分析数据之间的关系和影响。【安装步骤】1.鼠标右击【Amos28】压缩...
【软件下载】点击下载:https://pan.baidu-download.com/Extraction/Mplus.html提取码:点击获取‍【软件介绍】Mplus是一款专业的统计分析软件,主要用于结构方程模型(SEM)和混合效应模型(HLM)的建模和分析。Mplus提供了丰富的功能和工具,包括路径分析、因子分析、多水平建模等。Mplus的用户界面友好易用,支持图形化操作,使得模型构建和分...
【软件下载】点击下载:https://pan.baidu-download.com/Extraction/Origin.html提取码:点击获取‍【软件介绍】Origin是一款功能强大的科学数据分析和可视化软件,广泛应用于各个领域的数据处理和研究工作。Origin提供了丰富的数据分析工具和图形绘制功能,帮助用户快速处理和分析数据,并将结果以直观的图表形式展示。【安装步骤】1.鼠标右击【Ori...
数据分析网 专业数据分析服务
专业学术和研究领域的综合性数据分析服务平台
——————————————————————————————————————————————————————
本站教程已获得国家版权登记证书,受版权保护。未经授权,任何个人或机构不得以任何形式复制、传播、修改或用于商业目的。违反者将承担法律责任。
如需使用本站教程内容,请联系我们获取授权。谢谢合作!
以下为部分版权登记号:鲁作登字-2023-L-00466766   鲁作登字-2023-L-00466759   鲁作登字-2023-L-00466761   鲁作登字-2023-L-00466763   鲁作登字-2023-L-00466757